留言板

尊敬的读者、作者、审稿人, 关于本刊的投稿、审稿、编辑和出版的任何问题, 您可以本页添加留言。我们将尽快给您答复。谢谢您的支持!

姓名
邮箱
手机号码
标题
留言内容
验证码

2025年  第42卷  第6期

钻井液
南海西部油页岩低芳烃气制油基钻井液技术
刘智勤, 崔应中, 徐超, 余意, 彭巍
2025, 42(6): 705-712. doi: 10.12358/j.issn.1001-5620.2025.06.001
摘要:
北部湾盆地涠西南凹陷流沙港组二段储层为油页岩,微裂缝高度发育、脆性矿物含量高,前期直井钻探使用PLUS/KCl水基钻井液进行作业,井壁失稳情况严重、频繁遇阻卡钻。室内分析了该区域使用的水基和柴油基钻井液存在的问题,在现场柴油基钻井液配方基础上通过引入低黏度低芳烃气制油和级配优选微纳米封堵剂材料,构建了一套高性能低芳烃气制油基钻井液体系,该体系活度0.62,活度更低、岩屑回收率高达98%、300 μm微裂缝封堵无漏失、沉降因子小于0.51,抑制性和封堵性更佳,且高温性能稳定。气制油基钻井液在8口页岩油大斜度勘探井进行了应用,井径扩大率小于2%,与柴油基钻井液体系相比,最大漏斗黏度和塑性黏度分别下降了54%、41%,日损耗减少50%,综合工程成本累计节省约20%。该技术为加快开发海上页岩油资源提供了有力的钻井液技术支持。
一种强抑制植物油基钻井液体系
肖华, 王广财, 张云达, 刘万成, 任运, 万事兴, 王小龙
2025, 42(6): 713-720. doi: 10.12358/j.issn.1001-5620.2025.06.002
摘要:
为探索更环保、高效的油基钻井液,降低成本与环境影响,提升钻井作业安全性与质量,为钻井液领域提供新的绿色解决方案。以花生油、大豆油、蓖麻油等植物油作为基液的植物油钻井液生态毒性小、润滑性好、黏土稳定性高,可以较好地代替柴油基钻井液。以改性棉籽油作为基液,搭配油基钻井液用处理剂,形成一套植物油基钻井液体系。经评价,植物油基钻井液具有较强的抑制黏土水化膨胀能力和高温稳定性及强的抗盐、抗膨润土污染能力,并且具有良好的储层保护效果。该体系在吐哈油田成功应用2井次,应用结果表明,钻井液现场使用表现出良好性能,具有井壁稳定、井眼净化和安全环保等特点;植物油基钻井液解决了井壁垮塌,保障了优快钻完井和施工安全,且钻屑检测结果达标。形成的植物油基钻井液性能与柴油基钻井液相当,未来可逐步替代传统油基钻井液。
一种非水基钻井液用提切剂及其应用
任亮亮, 宋钰, 耿铁, 罗健生, 李超, 夏小春
2025, 42(6): 721-727. doi: 10.12358/j.issn.1001-5620.2025.06.003
摘要:
研制了一种非水基钻井液用提切剂PF-MOVIS,以中海油田服务股份有限公司非水基钻井液体系为基础,在不同体系中考察了加量、老化温度、老化时间等对钻井液流变、电稳定性等的影响,同时考察了体系的抗污染能力。结果发现,随着PF-MOVIS加量的增加,体系提切效果明显增强;随着老化时间增加,体系提切效果逐渐减弱,说明PF-MOVIS随着钻进过程会逐渐消耗,在实际作业过程中需要少量多次添加;PF-MOVIS抗温能力达170℃,在170℃以下的老化温度下,PF-MOVIS对体系有显著的提切效果。同时,PF-MOVIS对体系的电稳定性有明显的增强作用;具有优异的抗污染能力;在不同的非水基钻井液体系中都有明显的提切效果。通过中试放大研究,中试产品性能与实验室小试样品性能相当,甚至优于实验室小试样品。同时现场应用结果表明,PF-MOVIS在非水基钻井液体系中有优异的增黏提切作用,应用效果良好,具有较大的推广价值。
油基钻完井液用抗超高温悬浮稳定剂HPAS及其作用机理
寇亚浩, 倪晓骁, 王建华, 张家旗, 尹达, 迟军
2025, 42(6): 728-737. doi: 10.12358/j.issn.1001-5620.2025.06.004
摘要(1265) HTML (1187) PDF (4425KB)(46)
摘要:
针对目前油基钻完井液在240℃以上高温环境下悬浮稳定性难以维持的难题,基于空间网架结构增强胶体稳定性的原理,以海泡石纤维、正辛基三乙氧基硅烷为原料,经盐酸处理后有机改性,研制出强疏水性悬浮稳定剂HPAS。分别利用红外光谱、热重分析、粒径分析和表面润湿性等对其单体进行表征,分析结果表明改性成功。以HPAS为基础配制的一套高密度油基钻井液在260℃老化后性能保持良好,表观黏度、塑性黏度维持在33 mPa·s、27 mPa·s左右,动切力保持在4 Pa以上,破乳电压高于800 V,高温高压滤失量控制在5 mL以下,泥饼厚度小于2 mm;通过沉降稳定性评价发现,在240℃下静置7 d无硬沉,开罐状态:玻璃棒自由落体轻松触底,满足现场应用要求;此外,体系在65℃~240℃、常压~190 MPa的温度压力范围内,动切力始终维持在4.5 Pa以上,保证了体系良好的悬浮稳定性及携岩能力,为油基钻完井液在深井、超深井及万米深井的进一步应用提供了技术支持。
抗高温水基钻井液用纳米纤维素降滤失剂
王灿, 赵雄虎, 贾相如, SalmanKhan
2025, 42(6): 738-747. doi: 10.12358/j.issn.1001-5620.2025.06.005
摘要:
利用水溶液聚合法接枝共聚合成了纳米纤维素降滤失剂CNF-ADDS,并分析了其对水基钻井液流变性和降滤失性的影响,评价了其抗温和抗盐、抗钙效果,研究了其降滤失机理。实验结果表明,降滤失剂CNF-ADDS的长度在300 nm左右,在水基钻井液基浆中添加2%CNF-ADDS,可以将钻井液的表观黏度提高到32 mPa·s,塑性黏度提高为22 mPa·s,在260℃老化后,150℃的高温高压滤失量仅为16.3 mL;在被36%NaCl和3%CaCl2污染,260℃老化后的滤失量分别为17.4 mL和16.5 mL,且泥饼韧且薄,降滤失剂CNF-ADDS可通过自组装成网状结构,吸附黏土颗粒,在高温和高盐、高钙环境中显著降低钻井液的滤失量。
抗高温气滞塞体系构建及滞气机理
张震, 尹达, 苏晓明, 冯魏
2025, 42(6): 748-755. doi: 10.12358/j.issn.1001-5620.2025.06.006
摘要:
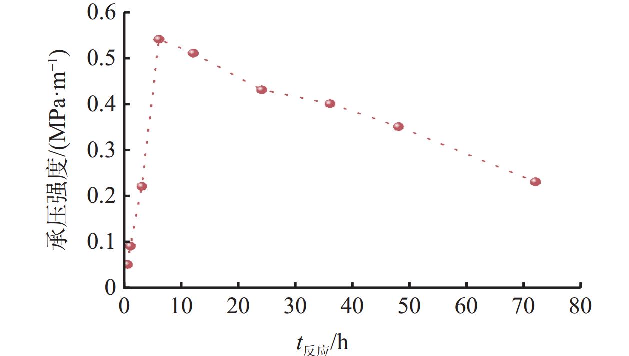
在高温储层钻井作业中,油气侵入井筒,易引发溢流甚至井喷等复杂事故。传统聚合物凝胶虽可防止气窜,但却存在抗温性能不足的问题。选用耐温聚合物AP-9、交联剂(聚乙烯亚胺和柠檬酸铝按1∶1)和硫脲制备耐高温气滞塞体系,通过实验探究各组分用量对气滞塞体系热稳定性的影响,优选出最佳配方(0.5%聚合物AP-9+0.4%交联剂+0.25%硫脲)。实验结果表明,该耐高温气滞塞体系在160℃高温下,使用25 000 mg/L Na+盐水配制的凝胶成胶后黏度为7120 mPa·s,抗盐性能良好,加热72 h后的黏度仍然可达3328 mPa·s,承压强度0.23 MPa/m。该研究为高温井环境中有效密封井下油气提供了技术支持,有助于实现全过程欠平衡钻井作业,对提高钻井安全性和效率具有重要意义。
基于改性碳纳米管共聚的凝胶封堵剂的制备及性能
宋翔远, 蓝强, 杨世超
2025, 42(6): 756-763. doi: 10.12358/j.issn.1001-5620.2025.06.007
摘要:
凝胶封堵剂通常具有自适应性较强的特点,但现有钻井液用凝胶封堵剂普遍存在抗温性及强度较差的问题。合成了一种抗高温碳纳米管杂化三元共聚物材料作为水基钻井液的封堵剂,以三元共聚凝胶为基体,以碳纳米管(CNTs)为刚性纳米颗粒,以期解决深井高温环境下封堵剂失效引起的井壁失稳等问题。通过分子结构设计,优选顺丁二烯酸酐(MAH)、烯基琥珀酸酐(ASA)、苯乙烯(St)为共聚物反应单体,过氧二苯甲酰(BPO)为引发剂,N,N-亚甲基双丙烯酰胺(MBA)为交联剂,采用自由基聚合法合成了一种纳米纤维封堵剂。通过透射电镜、砂盘封堵实验对其功能结构及封堵性能进行评价。结果表明,合成的抗高温碳纳米管杂化三元共聚凝胶封堵剂在钻井液中加量为1.0%时获得最优封堵能力,在150℃高温下,具有良好的流变性能,降滤失效果显著,对于纳微米尺寸孔缝均可有效封堵。
准噶尔盆地东部深层煤岩气钻井液防漏技术
刘颖彪, 戎克生, 杨泽, 巩加芹, 坎尼扎提, 张辉, 安锦涛
2025, 42(6): 764-771. doi: 10.12358/j.issn.1001-5620.2025.06.008
摘要:
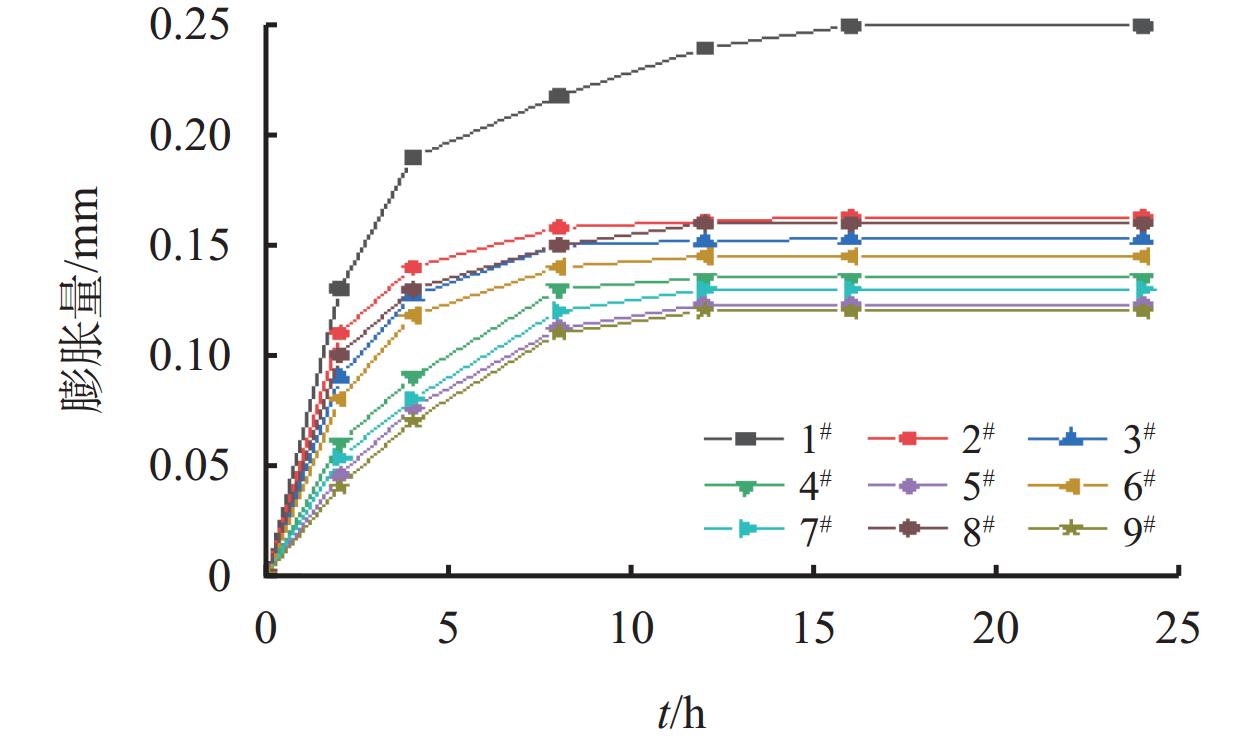
针对新疆准噶尔盆地东部深层煤岩气钻井中因储层承压能力不足导致的钻井液漏失等问题,根据现场井漏特征,结合矿物组成分析与微观电镜扫描,揭示了裂缝扩展与孔隙连通主导的漏失机理,并提出“封堵剂+降滤失剂+抑制剂”多元协同防漏技术对策。基于“降本增效”原则,优选出钻井液关键处理剂的添加剂用量,并通过正交实验优化复配组合,与基础体系结合形成4种防漏钻井液体系,渗透率恢复率作为核心评价指标,筛选出储层保护最佳的防漏钻井液体系。实验结果表明:该防漏钻井液体系的流变性能稳定,渗透率恢复率可达87.42%,中压和高温高压滤失量分别为4.16 mL 和 9.52 mL,砂床滤失量低于15 mL,封堵效果显著,岩屑膨胀率仅为0.96%,岩屑回收率高达91.6%,抑制性能优良。现场应用结果表明,优化后的防漏钻井液井漏事故明显减少,钻井周期缩短,复杂工况降低,储层保护效果提升,为深层煤岩气的安全、高效钻井提供了重要的技术支撑与应用参考。
基于长短期记忆网络和随机森林的井漏预测
蔡艾廷, 苏俊霖, 戴昆, 赵晗, 王嘉义
2025, 42(6): 772-780. doi: 10.12358/j.issn.1001-5620.2025.06.009
摘要(1248) HTML (975) PDF (6271KB)(31)
摘要:
井漏问题是制约钻井安全和效率的关键因素之一,为了实现对井漏风险的准确预测,提出了一种基于长短期记忆网络(Long Short-Term Memory, LSTM)和随机森林(Random Forest, RF)的井漏预测混合模型。根据算法原理构建LSTM模型、 RF模型和LSTM-RF混合模型,采用相关性分析法选择了14种井漏特征参数,将其输入到3种井漏预测模型中进行训练,分析对比了不同模型的性能和井漏预测准确率。实验结果发现,混合模型在测试集上的均方根误差(RMSE)为0.11、平均绝对误差(MAE)为0.22、决定系数(R2)为0.95,综合准确率达到了84.2%,各项指标显著优于单一模型。此外,利用混合模型进行现场实际应用,成功预测井漏5井次。研究结果表明,LSTM-RF混合模型在井漏预测中综合性能最优,能更精确地预测井漏,为钻井作业过程中的井漏预防和决策提供参考。
固井液
地热井固井用低导热水泥浆
党冬红, 黄中伟, 李敬彬, 刘景丽, 任强, 刘岩
2025, 42(6): 781-787. doi: 10.12358/j.issn.1001-5620.2025.06.010
摘要:
地热能开发中,水泥环热损失是影响采热效率的关键因素。以G级油井水泥为基体,采用空心玻璃微珠和改性坡缕石纤维为复合低导热材料,通过配方优化,形成了低导热水泥浆体系,并进行了流变性、稳定性、导热能力和抗压能力等测试,导热系数比常规水泥下降了74.4%,7 d抗压强度为19.7 MPa,复合低导热材料的加入使得材料内部孔隙分布更小、更均匀,不仅降低了材料的导热系数,而且提高了其力学性能和耐久性,可降低系统热损失,提高地热能的采出效率。
井筒重构低密度高流高强环氧树脂水泥浆技术
金鑫, 陈雷, 陶谦, 周仕明, 谭春勤
2025, 42(6): 788-796. doi: 10.12358/j.issn.1001-5620.2025.06.011
摘要:
页岩气井产量衰减较快,平均采收率较低,对页岩气压力衰竭老井进行重复压裂改造能够提升最终采收率,采用套中固套进行井筒重构是实现重复压裂顺利实施的关键。针对页岩气井井筒重构极窄小间隙环空作业环境,围绕窄间隙环空水泥浆流动性能、超薄水泥环长效封堵等技术难题,开展井筒重构水泥浆流变控制、水泥石强度控制、水泥浆调凝控制方法研究,在紧密堆积理论基础上,通过实验测试水泥浆体系在不同养护龄期下的抗压强度、流动度、高温高压稠化时间等性能,优选设计出一套井筒重构低密度高流高强固井水泥浆体系。结果表明,当水性环氧树脂添加量控制在8%~10%时,可以提高水泥石的抗压强度,同时保持良好的流动性能。该水泥浆体系性能稳定,已先后应用于井筒重构作业9井次,在实际工程应用中,水泥浆密度为1.63 g/cm3,流动度达27 cm,流性指数大于0.8,24 h和48 h抗压强度为16.23 MPa和20.50 MPa,稠化时间可控,满足井筒重构作业需要。其中焦页5-1HF井为首口井筒重构重复压裂技术全国产化应用井,重构井段固井质量优良,井筒重构后顺利完成分段重复压裂施工,测试产量恢复至初次压裂的88.10%,为国内页岩气田老区开发增储上产提供了借鉴。
固井前置液用速溶速效型悬浮剂的研制与应用
刘昊
2025, 42(6): 797-803. doi: 10.12358/j.issn.1001-5620.2025.06.012
摘要:
目前固井前置液中所使用的悬浮剂结构大多是高分子/纤维素类化合物,其主要优点是具备较强的增稠能力,可提升前置液体系的悬浮性,确保固井施工安全进行。然而这一类物质在水中通常溶胀速度极慢(>3 h),难以迅速发挥增稠悬浮作用。为进一步提升其使用便利性及前置液配制效率,满足固井生产需求,重点进行了固井前置液用悬浮剂的研制,通过优化悬浮剂体系配方,形成各项性能优异的速溶速效型低黏切悬浮剂体系。室内实验发现,该悬浮剂在溶于水后3 min内即可完全溶胀助悬浮,速效性强;漏斗黏度约为42 s,使用便利性突出;悬浮剂加量达到4%~5%时,以其为核心形成的油基/水基钻井液用前置液体系即可抗温200℃以上,前置液上下密度差小于0.03 g/cm3,稳定性优异。前置液在现场试验过程中施工顺利,固井质量优异,说明该体系可提升固井顶替效率,具有较高推广价值。
一种改善固井水泥浆与钻井液相容性的抗污染剂
李海龙, 周井红, 张峥, 雷蕾, 张顺平, 张华, 于永金
2025, 42(6): 804-810. doi: 10.12358/j.issn.1001-5620.2025.06.013
摘要:
针对川渝地区深部地层钻完井过程中水泥浆与钻井液相容性差导致的混合体系异常增稠问题,研发出一种用在隔离液中的抗污染剂DRP-2S。该抗污染剂DRP-2S通过其羧酸基团配位作用和空间位阻-静电协同稳定机制,调控混合体系的流变特性,且DRP-2S与水泥浆和隔离液中外加剂/外掺料均不反应。实验研究表明,当隔离液中添加DRP-2S后,控制其pH值为7时,对水泥浆与钻井液混合后调控能力最佳;温度适应性实验证实DRP-2S在60℃、90℃和120℃环境下均能改善水泥浆与钻井液的不相容问题。现场实验表明,将抗污染剂DRP-2S应用于川渝地区X探井的油层套管回接固井施工,顺利通过了水泥浆与油基钻井液的相容性实验,且固井合格率达到99.5%。为水泥浆与钻井液异常增稠现象提供了解决方案,具有重要的指导意义。
压裂液与酸化液
高耐盐耐剪切稠化剂的制备与应用
于世虎, 赵智勇, 张晓虎
2025, 42(6): 811-820. doi: 10.12358/j.issn.1001-5620.2025.06.014
摘要:
针对常规耐盐稠剂化耐盐能力有限,耐高速剪切能力差,无法满足气田水回用需求等问题,以丙烯酰胺(AM)、对苯乙烯磺酸钠(SSS)、N,N-二乙基丙烯酰胺(DEAM)、烷基二甲基烯丙基氯化铵(CnDMAAC)为聚合单体,通过乳液聚合制备出聚合物稠化剂ASCM,并通过正交实验优化了聚合条件。ASCM耐盐能力达到85 000 mg/L,耐Ca2+、Mg2+能力达到6000 mg/L,在标准盐水中的黏度保持率在80%左右,经2000 s−1高速剪切后,黏度恢复率达90%。气田水配制的1.6%ASCM,在120℃、170 s−1下剪切90 min后黏度在50 mPa·s左右,静态悬砂2 h无沉降,30~120 min可控破胶,破胶液表面张力25~27 mN/m,残渣含量小于200 mg/L,岩心伤害小于25%。开展气田水、返排液回用9井次,累计回用气田水、返排液1.43×104 m3,施工参数、改造效果与清水配制的一致,综合成本节约20%以上。ASCM具有耐剪切、高悬砂、低伤害、低摩阻的特点,满足气田水、返排液等复杂水质规模化回用的需求。
多缝洞体结构油藏高效沟通酸压工艺优化实验研究
汤晓帆, 罗攀登, 宋志峰, 何正权, 罗志锋
2025, 42(6): 821-828. doi: 10.12358/j.issn.1001-5620.2025.06.015
摘要:
缝洞型碳酸盐岩储层因缝洞连通复杂、结构多样导致改造困难,现有技术难以实现多缝洞体系高效动用。为此,研制多结构节点流动反应可视化实验装置,采用固体缓速酸开展酸压实验,观测流体路径并分析酸液浓度影响规律,提出以无因次突破体积为判据的优化策略。实验表明:固体缓速酸可减少早中期酸耗,增强远端溶蚀增渗效果并延长支撑缝长;串联缝洞结构适用高浓度酸液,其可快速增压、缩短突破时间且减少用酸量;并联结构酸液优先进入未充填裂缝,高浓度酸液导致充填区流动困难,推荐低浓度酸或“暂堵剂+高浓度酸”复合工艺。研究揭示了酸液在复杂缝洞系统中的流动机制,为非均质碳酸盐岩储层高效改造提供技术支撑。
完井液
一种梳状聚合物微锰分散剂
李怀科, 王志永, 张宇飞, 郝彬彬, 王正夫, 王文豪, 谭业邦
2025, 42(6): 829-835. doi: 10.12358/j.issn.1001-5620.2025.06.016
摘要:
为确保微锰加重剂在完井液中的分散,选用甲基丙烯酸钠和甲基烯丙基聚氧乙烯醚通过自由基聚合制备了不同组成的梳状聚合物型微锰分散剂PSH,用红外光谱、核磁共振确定了共聚物结构,探究了不同梳状聚合物微锰分散剂对钻完井液体系的降黏性及沉降稳定性的影响,提出了聚合物分散剂对微锰加重剂的分散机理。结果发现,甲基丙烯酸钠-甲基烯丙基聚氧乙烯醚共聚物对微锰加重剂的分散性能较好,分散剂PSH2、PSH3和PSH4对于微锰浆液都具有良好的降黏作用,其中PSH3样品经高温210℃老化后降黏率达到46.7%;加入PSH3后完井液体系的沉降因子从0.5290降低到0.5096。当分散剂中的甲基烯丙基聚氧乙烯醚单体含量适中时,分散剂可以达到最优的分散效果。
气井堵塞物成分分析及复合解堵体系研究
何宇, 何天宝, 凡田友, 杨强, 谢秉宏, 吴洋
2025, 42(6): 836-842. doi: 10.12358/j.issn.1001-5620.2025.06.017
摘要:
蜀南气矿高石梯区块气井堵塞严重,导致区块天然气产量严重下降,为了恢复天然气产量,需要对发生堵塞的气井设计解堵工作液进行解堵作业。通过红外光谱仪、X射线衍射仪等分析测试方法对现场取回的堵塞物进行分析,明确了堵塞物含有的有机和无机组分及含量;依据解堵原理,利用二甲苯、15%HCl和异丙醇构建复合解堵体系,优化了原料配比,并考察了不同作用时间、固液比以及温度对复合解堵体系的解堵效果的影响。在m(二甲苯)∶m(15%HCl)∶m(异丙醇)=17.32∶25.99∶56.69的条件下构建的复合解堵体系的解堵效果最好;在固液比为1∶15的条件下解堵效率最优为90.25%。该复合解堵体系可有效对高石梯区块的堵塞物进行溶蚀,且溶蚀后剩余物粒径较小,有利于从堵塞位置排出。现场利用该复合解堵体系施工后,堵塞的气井的产量恢复。

尊敬的作者、读者:

您好!

为更好地服务于广大作者和读者,提升期刊编辑部的办公效率和服务质量,本刊编辑部办公地点及联系电话已进行变更。

新办公地址:天津经济技术开发区第二大街83号中国石油天津大厦A517房间

新联系电话:022-65278734

                     022-25275527

我们衷心希望广大作者和读者能够继续支持我们的工作,共同推动期刊的发展和进步。

再次感谢您对期刊的关注和支持!