Online First

Articles in press have been peer-reviewed and accepted, which are not yet assigned to volumes/issues, but are citable by Digital Object Identifier (DOI).
Display Method:
Mechanism and Performance Evaluation of a Solid-Free One-Step Flushing Fluid for Removing Drilling Fluid Filter Cakes
Zhang Fuming, Zhao Hu, Zhang Gaolei, Zhao Jun, Wang Xueshan, Cheng Xiaowei
, Available online  
Abstract:
With the tightening of environmental regulations, eco-friendly water-based drilling fluids have been increasingly adopted in offshore drilling operations. However, the dense filter cakes formed by such fluids can severely impair the bonding quality at the cementing interfacial zone. In this study, the filter cake generated by BIODRILL water-based drilling fluid was investigated. Its composition and structural characteristics were examined using XRD, FT-IR, SEM, and TG analyses, which revealed that the cake is mainly composed of polymeric additives, weighting materials, and clay minerals. The resulting structure exhibits low porosity and high strength, making it resistant to removal by conventional methods. Based on the formation mechanism of the cake, a solid-free one-step flushing fluid was developed, formulated with oxalic acid, NaF, EDTA-Na, rhamnolipids, and TWEEN80. The system operates through a synergistic mechanism of acid dissolution, chelation, interfacial peeling, and physical scouring, enabling efficient disintegration and removal of the filter cake. Experimental results demonstrated that at an optimal pH of 5.5, the flushing fluid achieved over 80% cleaning efficiency within 15 minutes under both ambient and 85℃ conditions, with maximum removal rates exceeding 95%. Furthermore, the bonding strength of flushed sandstone cores recovered to more than 70% of that of clean cores, meeting field performance requirements. These findings not only elucidate the challenges and mechanisms of filter cake removal but also provide new strategies and theoretical support for efficient cleaning of cementing interfacial filter cakes and enhancement of bonding quality in complex drilling environments.
Research on the Thermal Conductivity of Ultrafine Graphite and Carbon Fiber Reinforced Cement for Well Cementing
DANG Donghong, HUANG Zhongwei, QI Pengfei, WANG Hongke, REN Qiang, PENG Song, CHENG Xiaowei
, Available online  
Abstract:
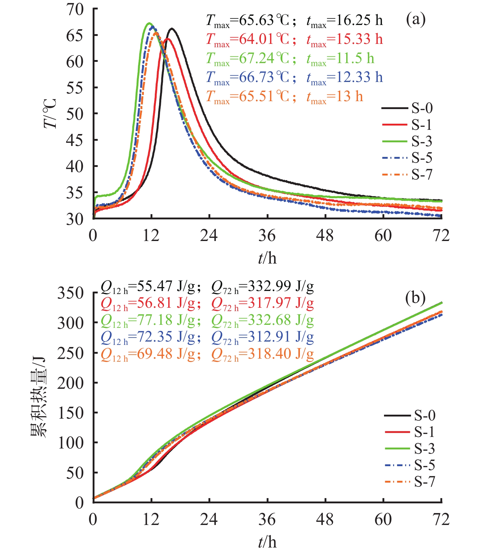
To reduce the thermal resistance between the wellbore of a geothermal well and the rock formation and enhance the heat extraction capacity of the geothermal well, this paper selects graphite (SG) with excellent thermal conductivity as the heat-conducting material, and uses a surfactant to prepare a graphite dispersion. High aspect ratio carbon fibers (CF) are introduced to construct a heat-conducting network, which cooperatively improves the thermal conductivity of the cement paste. The performance of the graphite dispersion-cement slurry, as well as the mechanical and thermal conductivity properties of the cement paste, were evaluated. The phase composition, pore structure and microstructure of the cement paste were characterized by X-ray diffraction (XRD), thermogravimetric analysis (TG/DTG), mercury intrusion porosimetry (MIP) and scanning electron microscopy (SEM), and the thermal conduction mechanism was explored. The results show that when the W/S ratio is 0.51, the performance of the cement paste prepared by adding SG and CF meets the engineering requirements. The 24-hour compressive strength of the cement paste is not less than 17.0 MPa, the 7-day compressive strength is higher than 25.0 MPa, and its thermal conductivity can reach 2.86 W/(m·K). Under the combined effect of SG promoting hydration and CF inhibiting hydration, the weight loss of C—S—H and CH in the high-conductivity cement Ppaste was 10.91%, which was slightly lower than 11.04% of the pure cement paste. Appropriate SG can refine the pore size of the cement paste and reduce the porosity of the cement paste, while CF will significantly increase the porosity of the cement paste and increase the number of large pores. When the two are mixed, the porosity of the cement paste is 36.95%, which is higher than that of the pure cement paste. However, the number of pores larger than 70 nm in the high-conductivity cement paste is not much different from that of the pure cement paste. Adding SG and CF to the cement slurry can form a thermal conductivity network.
Study and Application of Cement Slurry for Mitigating Casing Deformation in Shale Gas Well Fracturing
CHEN Minhua, YU Zhaocai, ZHOU Chenyang, DENG Tian’an, ZHANG Shunping, LIU Bo, GUO Xueli
, Available online  
Abstract:
Shale gas reservoirs in the Sichuan-Chongqing area have complex geological structures and well-developed natural fractures, which always result in formation slip and casing deformation in long horizontal section well tight cluster fracturing operation. A new cement slurry system was developed to mitigate casing deformation problem and its performance was verified in field test. Based on the integrated finite element simulation of geology-engineering, the effect of the elastic modulus and deformation capacity of set cement on the casing stress were systematically analyzed, and it was determined to decrease the elastic modulus and to improve the deformation capacity of the set cement. A cement slurry was then developed using highly deformable materials and elastic materials, it has a moderate elastic modulus (< 5 GPa), the set cement has a deformation rate of more than 25%, and its engineering performance satisfies the needs of field operations. This cement slurry was successfully used on the well Z-1. Laboratory shear test results showed that this cement slurry can mitigate casing deformation better than other conventional cement slurries. In field fracturing operation, no casing deformation occurred during the whole operation process, confirming the remarkable technical effect of this cement slurry. The development of this cement slurry provides an innovative solution to the management of wellbore integrity in the whole lifecycle of shale gas wells.
Early Hydration Process of Well Cement Slurries for Cementing CO2-Contained Gas Reservoirs and Factors Affecting the Performance of the Cement Slurries
DENG Zhuoran, LIU Wenchao, BI Yi, LUO Yangli, CHENG Xiaowei, MEI Kaiyuan
, Available online  
Abstract:
In cementing a gas well with CO2 contained in the reservoir, it is inevitable for the cement slurries to contact with the CO2. The length of the contact time will possibly affect the early hydration characteristics and the development of the microstructure of the cement slurries, and worse still is the negative effects of this contact on the quality of well cementing. In this study, the change patterns of the early hydration characteristics, the mechanical properties and the permeability of a cement slurry were systematically investigated by controlling the ventilation time of CO2. Using XRD, TG and SEM etc., the early phase composition and the evolution pattern of the cement slurry were analyzed. The study showed that the fluidity of the cement slurry was improved in the early stage and was then deteriorating with the time of CO2 ventilation. The setting time of the slurry, on the other hand, was shortened continuously. The hydration heat release curve showed that CO2 treatment significantly accelerated the cement hydration process, and increased the early cumulative released heat. However, as the time of CO2 ventilation increased, these effects became weakening. Compressive strength and permeability test results showed that CO2 treatment significantly enhanced the early strength of the cement slurry, and the best result can be obtained at ventilation time of less than 3 minutes. However, as the ventilation time of CO2 increased, the strength and permeability of the set cement both gradually decreased. XRD, TG and SEM analyses showed that CO2 treatment increased the formation of CaCO3, disrupted the coating structures formed by Ca(OH)2 and the C—S—H gel, and hence accelerated the hydration process of the cement particles.
Flow Characteristics of Dual-Increasing Stimulation Slurry in Unconsolidated Silty Sandstone
LIU Xilong, SUN Qian, ZHANG Guobiao, LI Bing, ZHANG Kewei
, Available online  
Abstract(788) HTML (591) PDF (7827KB)(12)
Abstract:
The dual-increasing stimulation slurry is a novel stimulation fluid developed for weakly cemented reservoirs, such as submarine methane-hydrate-bearing silty sandstones. After injection into the formation, it consolidates to form porous-media slurry veins that enhance permeability. This study employed a slurry fracture flow visualization apparatus to investigate the flow characteristics of the slurry within muddy silty sediments. The experiments revealed the influence of geological parameters, slurry formulation, and operational parameters on slurry flow, fluid loss, and slurry-vein porosity. The results indicate that the slurry flows uniformly and exhibits a convex fracture flow profile, flowing to the end of main fracture and branch fracture, effectively filling fractures. Lower fluid loss increases the proportion of medium-to-large pores within the slurry veins. Adjusting the slurry formulation can reduce fluid loss in formations of varying permeability, whereas a high injection rate expands the fluid loss zone. The effective porosity ranges from 50% to 60% with a uniformly distributed pore space, forming a structure dominated by large pores (pore diameter > 50 nm) and densely distributed micro- to mesopores (pore diameter < 50 nm). This pore network can serve as high-conductivity channels for gas and water migration, while the dense distribution of small and medium pores is conducive to sand control.
A New High-temperature Tackifier for Solid-free Drilling Fluids
ZHOU Guowei, ZHANG Xin, YAN Weijun, HUA Guiyou, ZHUANG Zhenhua, QIU Zhengsong
, Available online  
Abstract(712) HTML (599) PDF (2972KB)(16)
Abstract:
The Ordovician buried-hill reservoir in Liaohe Oilfield exhibits a challenging high-temperature (200℃ at reservoir center) and low-pressure (pressure coefficient 1.01~1.06) environment characteristic of typical high-temperature, low-pressure oil/gas reservoirs. To achieve formation protection, a solids-free water based drilling fluid was prioritized, with tackifier selection being critical. Through molecular structure optimization, a novel high-temperature/salt-resistant tackifier was developed using four monomers: N-vinylpyrrolidone (NVP), 2-acrylamido-2-methylpropane sulfonic acid (AMPS), N'N-diethylacrylamide (DEAA), and 1-(3-sulfopropyl)-2-vinylpyridinium hydroxide inner salt. The synthesis employed N'N-methylene bisacrylamide as crosslinker with potassium persulfate and sodium bisulfite as redox initiators. FTIR and TGA analysis confirmed successful polymerization, demonstrating superior thermal stability with 296.66℃ initial decomposition temperature and only 45.96% mass loss during degradation phase, outperforming commercial HE300. The fluid achieved remarkable rheological performance with 722 consistency coefficient (K) at 0.5% concentration. Laboratory evaluations verified exceptional thermal stability up to 220℃ and saturated salt tolerance. Field applications demonstrated excellent viscosity-enhancing performance and robust durability of this novel tackifier, providing vital technical support for buried-hill reservoir development and high-temperature formation drilling operations.