Current Articles

2026, Volume 43,  Issue 1

DRILLING FLUID
Salt-Resistant Lubricant for Deep Water Drilling Fluids
LIU Xiaodong, MA Yongle, LIU Tao, ZHANG Yong, LI Qingyong, LUO Ningzi
2026, 43(1): 1-8. doi: 10.12358/j.issn.1001-5620.2026.01.001
Abstract(551) HTML (290) PDF (2847KB)(51)
Abstract:
In deepwater drilling, drilling fluids are affected by seawater, highly mineralized brine, and polyvalent metal ions. Conventional lubricants such as mineral oils, vegetable oils, and fatty acids often exhibit poor dispersion and incompatibility in high salinity environments,separating out as oily or cheese like pastes, which reduces or even eliminates the lubricating performance of the drilling fluid. Currently, there are limited efficient lubricants in China suitable for brine-based drilling fluids, making it difficult to meet the demands of deepwater operations.To address this issue, this study reviews and analyzes international research progress on high performance water-based drilling fluids and salt-resistant lubricants for deepwater drilling. Laboratory evaluations were conducted on six lubricants with different compositions. The results show that all of them suffer from poor compatibility and fail to meet the required lubrication coefficient standards in seawater-based fluids.Based on these findings, a high-efficiency lubricant suitable for brine drilling fluids was developed using long-chain modified fatty acid esters compounded with non-ionic surfactants. This lubricant demonstrates good compatibility with seawater and brine-based fluids, with no separation of oily or cheese-like substances. It can reduce the lubrication coefficient of seawater-based fluids prepared with inorganic and organic salts to below 0.10. After hot rolling at 185℃, no oily material separates on the surface of the slurry, and the lubricating performance remains stable. Additionally, the lubricant does not cause foaming, does not affect the rheological properties of the drilling fluid, is environmentally friendly, has low biotoxicity, and does not harm the marine environment.
Simulation Research on Friction Characteristics of Borehole Wall Fracture Surfaces and Structural Instability in Maokou Carbonate Formation in Southern Sichuan
MA Yong, RAN Hang, WANG Yangsong, YANG Huajian, XU Weining, HUANG Tao, YU Wenshuai
2026, 43(1): 9-17. doi: 10.12358/j.issn.1001-5620.2026.01.002
Abstract(526) HTML (275) PDF (7773KB)(41)
Abstract:
To reveal the mechanisms of borehole wall instability occurred in drilling the Maokou carbonate formation in southern Sichuan province, systematic testing and discrete element numerical simulation were conducted on the friction characteristics of the surfaces of the fractures in the formation. Field data analysis confirms that borehole wall instability mainly takes place in the broken rocks in the Maokou formation in which fractures are developed. When drilling into this formation, caving and sloughing of the formation rocks frequently take place and serious local wash-out leads to enlarged holes, posing a threat to safety of drilling operation. Experimental results show that in the limestones of the Maokou formation, the surfaces of the natural/artificial fractures have coefficients of friction (COFs) ranging in 0.691-0.743 and 0.501-0.588. After contacting with the drilling fluid, the mechanical strengths of the surfaces of the fractures are reduced and the surfaces are also lubricated by the fluid, the COFs of the surfaces of the fractures are reduced by 16.9%-31.8% in average. In high stress condition, the micro convex spots on the surfaces of the fractures become softened and damaged, the COFs of some filled fractures can be reduced to 0.2-0.3. Simulation using discrete element method of the borehole wall instability in the Maokou formation which contains complex structural faces shows that when the angle between the orientation of a fracture and the maximum horizontal principal stress is between 45° and 60°, the fracture around the wellbore is easiest to be activated; a decrease in the friction coefficient of the surfaces of the fracture significantly increases the risk of shear slip of the rocks, thereby inducing wellbore instability such as caving and sloughing of the borehole wall and hole enlargement. Based on the above understanding, for a carbonate rock formation with high matrix strength and plenty of natural fractures, it is necessary to accurately assess the friction strength of the natural fractures, and use anti-collapse drilling fluids with excellent plugging capacity to effectively plug the fractures, suppress their lubrication effects, and enhance the friction strength of the surfaces of the fractures, thereby ensuring borehole wall stability and drilling safety.
Experimental Study on Lost Circulation Control with Particle-Gel Composite Plugging on a Novel Dynamic Circulating Lost Circulation Device
HU Zhaowen, ZHANG Yiqun, LIU Yanjun, WANG Xinyu, YANG lili, LIU Ya
2026, 43(1): 18-27. doi: 10.12358/j.issn.1001-5620.2026.01.003
Abstract(531) HTML (297) PDF (6664KB)(40)
Abstract:
Experimental devices currently in use for lost circulation control test have such shortages in simulating dynamic circulation and evaluating the performance of lost circulation slurries. To overcome these shortages, a multiparameter dynamic lost circulation control experimental device was developed which integrates heterogeneous tortuous fracture simulation, temperature-pressure coupling control and real-time monitor functions. This device consists of a temperature-pressure controlled reactor (0-150℃)/(0-25 MPa), a work fluid synthesis system, a circulation pump set and a data acquisition and control system. It can be used to reconstruct tortuous fractures with lengths of 50-60 cm, and simulate the alternate migration-plugging process of lost circulation materials under dynamic circulation conditions. Using prefabricated heterogeneous artificial cores and reticulate metal frameworks, experiments were conducted on controlling lost circulation in multiscale fractures and nested frameworks, and the synergistic mechanism of the particle-gel composite system was revealed. Experimental results show that the lost circulation control slurry formulated based on the D90 rule achieves a coordinated improvement of suspension stability and plugging capacity through the “coarse particle bridging-fine particle filling – gel gap plugging” process, with the pressure bearing capacity of the plugging layer being over 12 MPa. The curing of the preinjected gel can significantly shorten the circulation time: the time for plugging a single fracture is shortened to 4 min, a plugging efficiency of at least 45% higher than plugging with single-particle lost circulation slurries, and this time is further reduced to 2.7 min when metal frameworks are used. This study has verified the engineering applicability of time-sequential synergistic process of lost circulation control with composite slurries under dynamic circulation conditions, providing theoretical support for the prevention and control of lost circulation in fractured-vuggy formations.
The Influence of the Synergistic Effect between Thermo-Responsive Polymers and Bentonite on the Rheology of Water-Based Drilling Fluids
XIAO Sizhuo, SHI Yuzhao, SUN Yanyu, GONG Lu, XIE Binqiang
2026, 43(1): 28-34. doi: 10.12358/j.issn.1001-5620.2026.01.004
Abstract(513) HTML (364) PDF (3066KB)(44)
Abstract:
To address the challenge of drilling fluid rheology instability resulted from high-temperature degradation of conventional polymers, three polymers PAANVCL, PAADEAM and PAANIPAM, with different thermo-responsive groups, were synthesized via free-radical polymerization using thermo-responsive monomers, including N-vinyl caprolactam (NVCL), N,N-diethylacrylamide (DEAM) and N-isopropylacrylamide (NIPAM), and hydrophilic monomers, including acrylamide (AM) and sodium 2-acrylamido-2-methylpropylsulfonate (NaAMPS). The lower critical solution temperature (LCST) of the polymer solutions was determined by the turbidimetric method, the structural changes of the polymers before and after interaction with bentonite were characterized using Fourier transform infrared spectroscopy (FT-IR), and the interactions between the polymers with different thermo-responsive groups and bentonite were comparatively analyzed via X-ray diffraction (XRD), Zeta potential measurement and isothermal adsorption test. Additionally, the influence of thermo-responsive group types on the high-temperature rheology of the polymers in bentonite-based slurries was investigated. It was found that the LCST of the thermo-responsive polymer PAANVCL is as high as 85℃, and those of the polymers PAADEAM and PAANIPAM are 77℃ and 73℃, respectively. At room temperature and 90℃, PAANVCL exhibits the highest adsorption capacity on bentonite particles, followed by PAADEAM and PAANIPAM. After aging at 160℃ for 16 hours, the retention rate of the apparent viscosity (AV) of the PAANVCL-bentonite water-based drilling fluid is 81.13%, compared with 72.52% for the PAADEAM-bentonite drilling fluid and 69.44% for the PAANIPAM-bentonite drilling fluid. Furthermore, at temperatures between 100℃ and 160℃, the AV, plastic viscosity (PV) and yield point (YP) of the PAANVCL-bentonite drilling fluid fluctuate in ranges of less than 15%, demonstrating good high-temperature rheological stability. The types of the thermo-responsive groups exhibit significant impact on the interaction between polymers and bentonite; PAANVCL, a polymer with cyclic thermo-responsive groups, exhibits superior rheological stability in water-based drilling fluids.
An Environmentally-Friendly Drilling Fluid for Stabilizing Shaximiao Formation in Block Zhongjiang
SHAN Haixia, ZHANG Yi, ZHANG Han, ZHAO Tiantian
2026, 43(1): 35-40. doi: 10.12358/j.issn.1001-5620.2026.01.005
Abstract(509) HTML (288) PDF (3467KB)(42)
Abstract:
The Shaximiao formation during drilling has found serious borehole wall collapse and the fallen debris were difficult to be brought out of the hole. To deal with this problem, an environmentally friendly drilling fluid suitable for drilling the Shaximiao formation in block Zhongjiang was selected and optimized for hole stabilization. The Shaximiao formation is developed with stack-structured fractures, and the bonding strengths between the clay minerals and the other minerals are low, thus, in the long-term exposure of the borehole walls into a water-based drilling fluid, it is easy to induce the propagation of the fractures in the formation to produce spalling and fallen debris, causing the borehole wall to collapse. The drilling fluid selected is an environmentally friendly biomass synthetic-based drilling fluid having good compatibility with the formation. Laboratory evaluation results showed that this drilling fluid has good inhibitive capacity, the 16 h linear expansion rate of rock cores tested with this drilling fluid is 0.62%, the permeability of the drilling fluid is low, and the wetting angle is 28.9°. This drilling fluid has the property of low viscosity and high gel strength, at 80℃-100℃ and 40 MPa, the YP/PV ratio is higher than 0.3 Pa/(mPa·s). The drilling fluid has stable properties at low temperature and high density. The PPA filtration rate of the drilling fluid tested on sand disks of different pore sizes is zero, and the penetration depths of the mud filtrates into visual sand-beds of different meshes are between 7 mm and 20 mm, indicating that the drilling fluid performs very well in plugging micropores and microfractures. Using this drilling fluid, borehole wall instability problem was solved, and all wells were successfully drilled to the designed depths with no downhole problems. The use of this drilling fluid provides an environmentally friendly technical guarantee for efficiently drilling the Shaximiao formation in the block Zhongjiang.
Synthesis and Performance Evaluation of Multifunctional Drilling Fluid Additive MPA-1
LI Xiong
2026, 43(1): 41-50. doi: 10.12358/j.issn.1001-5620.2026.01.006
Abstract(513) HTML (269) PDF (2935KB)(36)
Abstract:
This study presents an idea of developing multifunctional drilling fluid additives to deal with the problems encountered in field drilling fluid engineering, such as too many kinds of drilling fluid additives, drilling fluid additives with their main function being prominent and secondary functions being unsatisfactory, as well as many drilling fluids with complex compositions, difficulties in property maintenance and poor compatibility among the additives. A multifunctional drilling fluid additive MPA-1 with three functions, which are filtration reduction, shale inhibition and lubricity improvement, was developed through L9(34) orthogonal experiment with which the monomers and their optimal concentrations, and the optimal reaction conditions were determined. The number average molecular weight and the weight average molecular weight of MPA-1 are 15.6×104 and 28.2×104, respectively. TGA results show that the initial decomposition temperature of the MPA-1 molecules is about 255℃. Compared with many other commonly used single-function additives, 1%MPA-1 in a 5% sodium bentonite slurry exhibits better performance in filtration control, lubrication and shale inhibition after the slurry is aged at 120℃ for 16 h. In 5% sodium bentonite slurry containing 5%-10%KCl, MPA-1 exhibits good salt resistance. When three samples of a potassium amine/potassium polymer sulfonate drilling fluid, which was used to drill 3 wells, were treated with 0.3%-0.5%MPA-1 and then allowed to age at 120℃ for 16 h, the viscosity of the samples increased moderately, the API filtration rate decreased significantly, and the lubricity of the mud cakes was improved. Replacing the 1%KPAM+1%Lube-3+1%SMJA-1 in the field potassium amine drilling fluid with 1.5%MPA-1, the composition of the drilling fluid was simplified, and the filtration rate, viscosity, viscosity coefficient of the drilling fluid, as well as the relative rate of expansion of bentonite pallets were wholly reduced. Mechanism analysis shows that the cationic groups in MPA-1 molecules moderately improve the hydrophobicity of clay particles by adsorbing on their surfaces, thereby inhibiting the clay particles and improving the lubricity of the drilling fluid at the same time. The anionic groups in the MPA-1 molecules, on the other hand, enter the hydration layer of clay particles, thereby enhancing the electronegativity of the clay particle surfaces, and increasing the thickness of the hydration films. These effects, together with the encapsulating effect of the main chains of the MPA-1 molecules, enlarge the range of the particle size distribution of the clay particles, which in turn helps produce thinner and denser mud cakes, reducing the filtration rate of the drilling fluid. The results of the research indicate that the multifunctional drilling fluid additive MPA-1 has the ability to reduce filtration rate, enhance lubricity and improve shale inhibition which satisfy the requirements of drilling a well with bottomhole temperatures less than 150℃, and this is beneficial to simplifying mud composition and reducing the difficulties in the maintenance and treatment of a drilling fluid in field operation.
Development and Application of a High Temperature High Filtration Rate Acid Soluble Lost Circulation Agent for Oil Based Drilling Fluids
LIU Yutong, FAN Pengfei, JIANG Xueqing, HU Xiaoyan
2026, 43(1): 51-56. doi: 10.12358/j.issn.1001-5620.2026.01.007
Abstract(491) HTML (271) PDF (2530KB)(39)
Abstract:
High filtration rate lost circulation materials have several shortcomings such as inability to use at elevated temperatures, inability to mix with oil-based drilling fluids and low acid solubility etc. A high filtration rate lost circulation agent for use in oil-based drilling fluids have been developed to deal with these problems. This new lost circulation agent can be used at 150℃-190℃, and has acid solubility of 75.7%. It is composed mainly of a high softening point epoxy resin, a latent curing agent, and a highly acid soluble fiber, which has certain strength after filtering and piling. Laboratory evaluation experiment shows that this lost circulation agent can effectively consolidate after filtering, the plugging layer formed by the lost circulation agent after filtering has compressive strength that is greater than 4 MPa. The plugging layers formed in 1-5 mm fractures have compressive strengths that are greater than 11.5 MPa. The plugging layers do not cure at low temperatures and the curing time at elevated temperatures is 3.3-6.5 h, meaning that the use of this lost circulation agent is safe. A technology of using this lost circulation agent to formulate a high temperature high filtration rate acid soluble lost circulation slurry for use with oil-based drilling fluids has been used to control the loss of oil-based drilling fluid occurred on the well Yong-X. The operation temperature was 151℃, and the severe mud losses into the pay zones were successfully brought under control.
CEMENTING FLUID
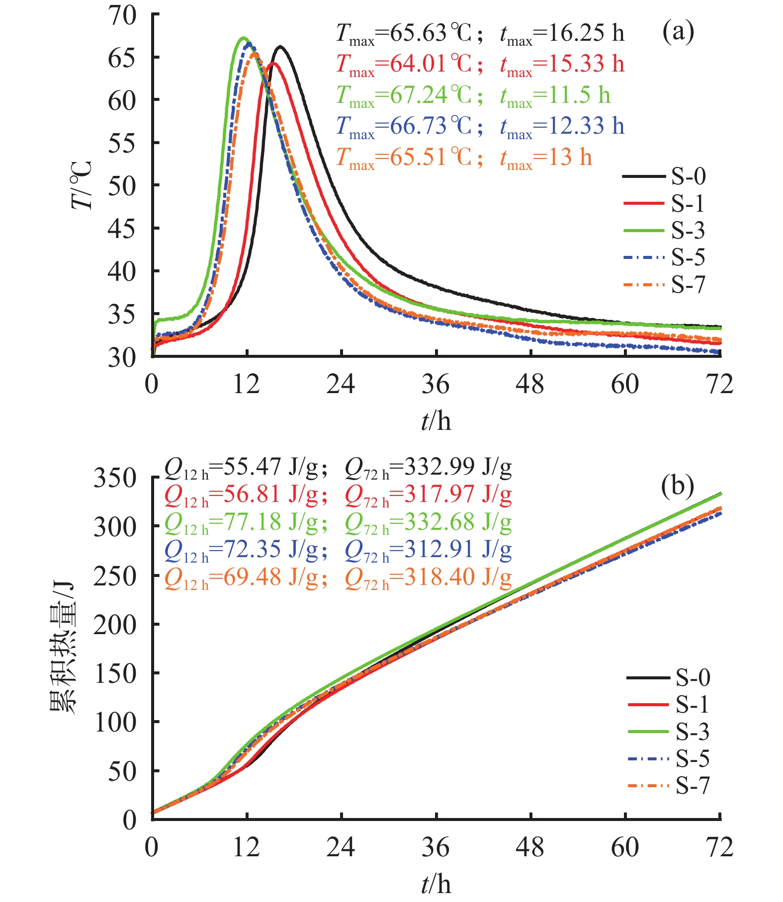
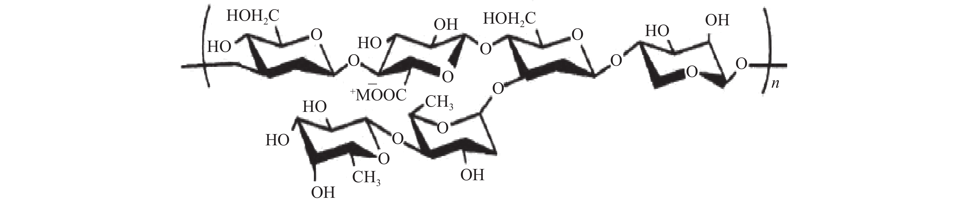
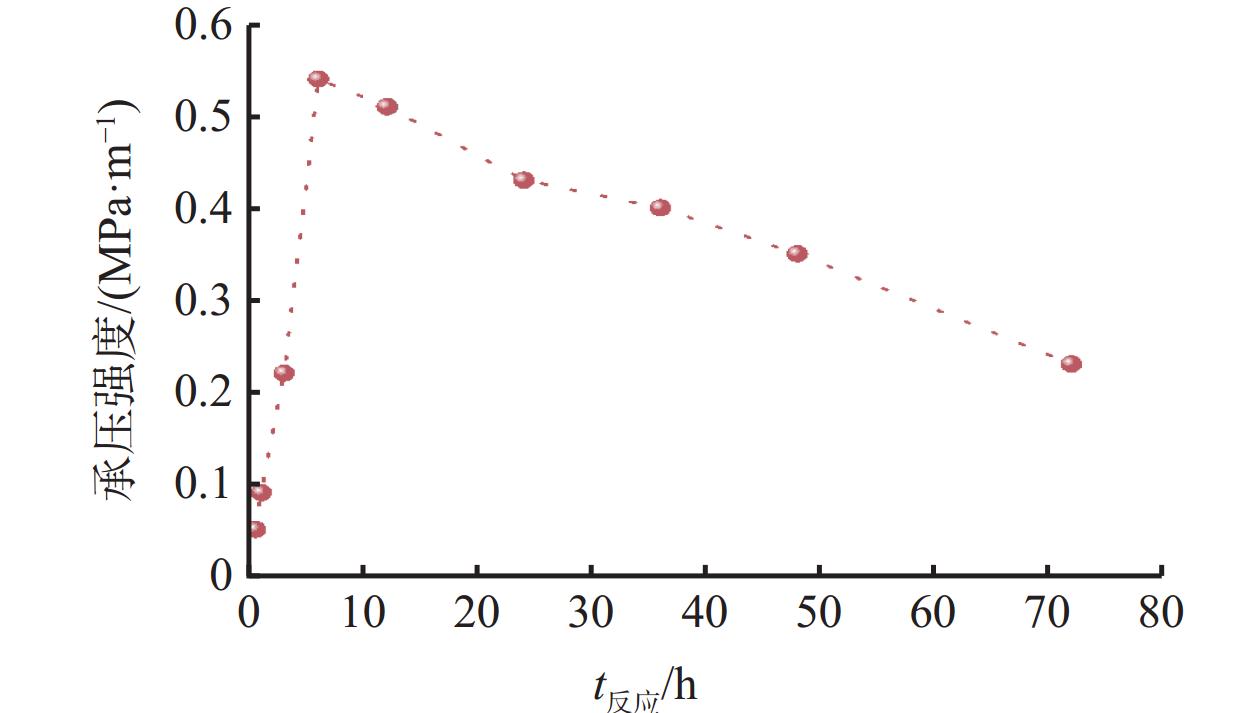
Early Hydration Process of Well Cement Slurries for Cementing CO2-Contained Gas Reservoirs and Factors Affecting the Performance of the Cement Slurries
DENG Zhuoran, LIU Wenchao, BI Yi, LUO Yangli, CHENG Xiaowei, MEI Kaiyuan
2026, 43(1): 57-64. doi: 10.12358/j.issn.1001-5620.2026.01.008
Abstract(1004) HTML (686) PDF (3741KB)(32)
Abstract:
In cementing a gas well with CO2 contained in the reservoir, it is inevitable for the cement slurries to contact with the CO2. The length of the contact time will possibly affect the early hydration characteristics and the development of the microstructure of the cement slurries, and worse still is the negative effects of this contact on the quality of well cementing. In this study, the change patterns of the early hydration characteristics, the mechanical properties and the permeability of a cement slurry were systematically investigated by controlling the ventilation time of CO2. Using XRD, TG and SEM etc., the early phase composition and the evolution pattern of the cement slurry were analyzed. The study showed that the fluidity of the cement slurry was improved in the early stage and was then deteriorating with the time of CO2 ventilation. The setting time of the slurry, on the other hand, was shortened continuously. The hydration heat release curve showed that CO2 treatment significantly accelerated the cement hydration process, and increased the early cumulative released heat. However, as the time of CO2 ventilation increased, these effects became weakening. Compressive strength and permeability test results showed that CO2 treatment significantly enhanced the early strength of the cement slurry, and the best result can be obtained at ventilation time of less than 3 minutes. However, as the ventilation time of CO2 increased, the strength and permeability of the set cement both gradually decreased. XRD, TG and SEM analyses showed that CO2 treatment increased the formation of CaCO3, disrupted the coating structures formed by Ca(OH)2 and the C—S—H gel, and hence accelerated the hydration process of the cement particles.
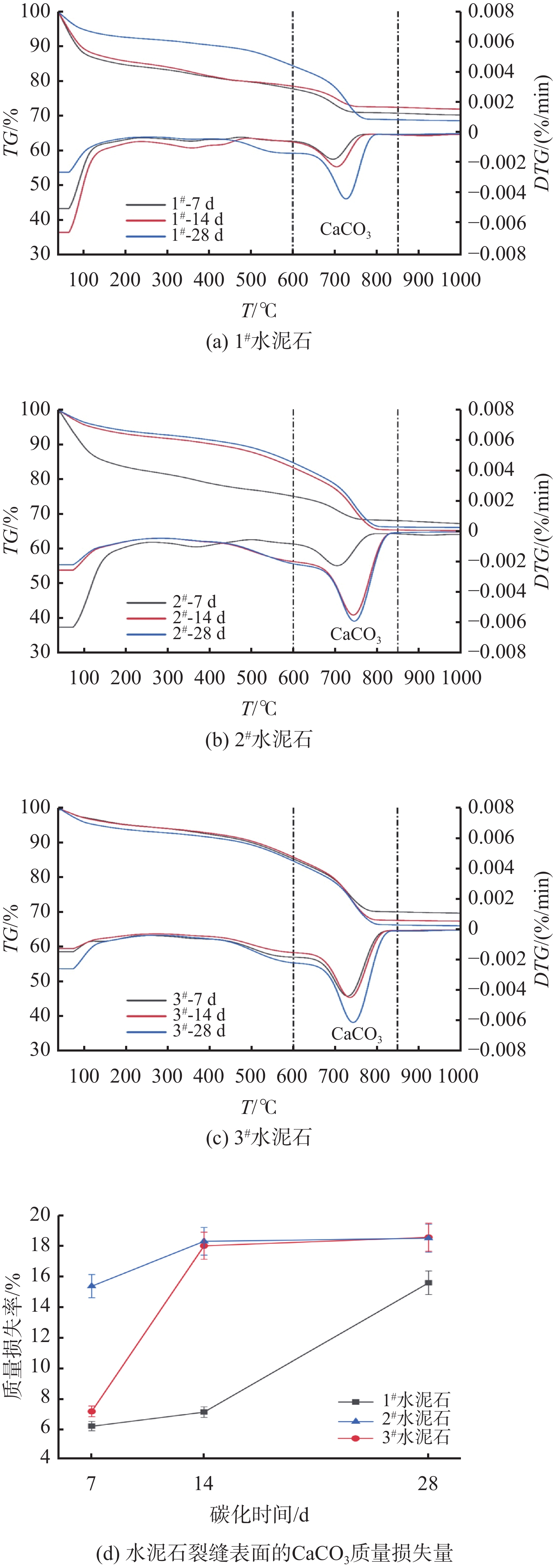
Carbonation-Induced Corrosion Resistance and Mechanism of Ultrafine Slag Contained Oil Well Cement
DUAN Zhiwei, FU Junfang, HUANG Wei, FENG Keman
2026, 43(1): 65-72, 79. doi: 10.12358/j.issn.1001-5620.2026.01.009
Abstract(476) HTML (283) PDF (3836KB)(27)
Abstract:
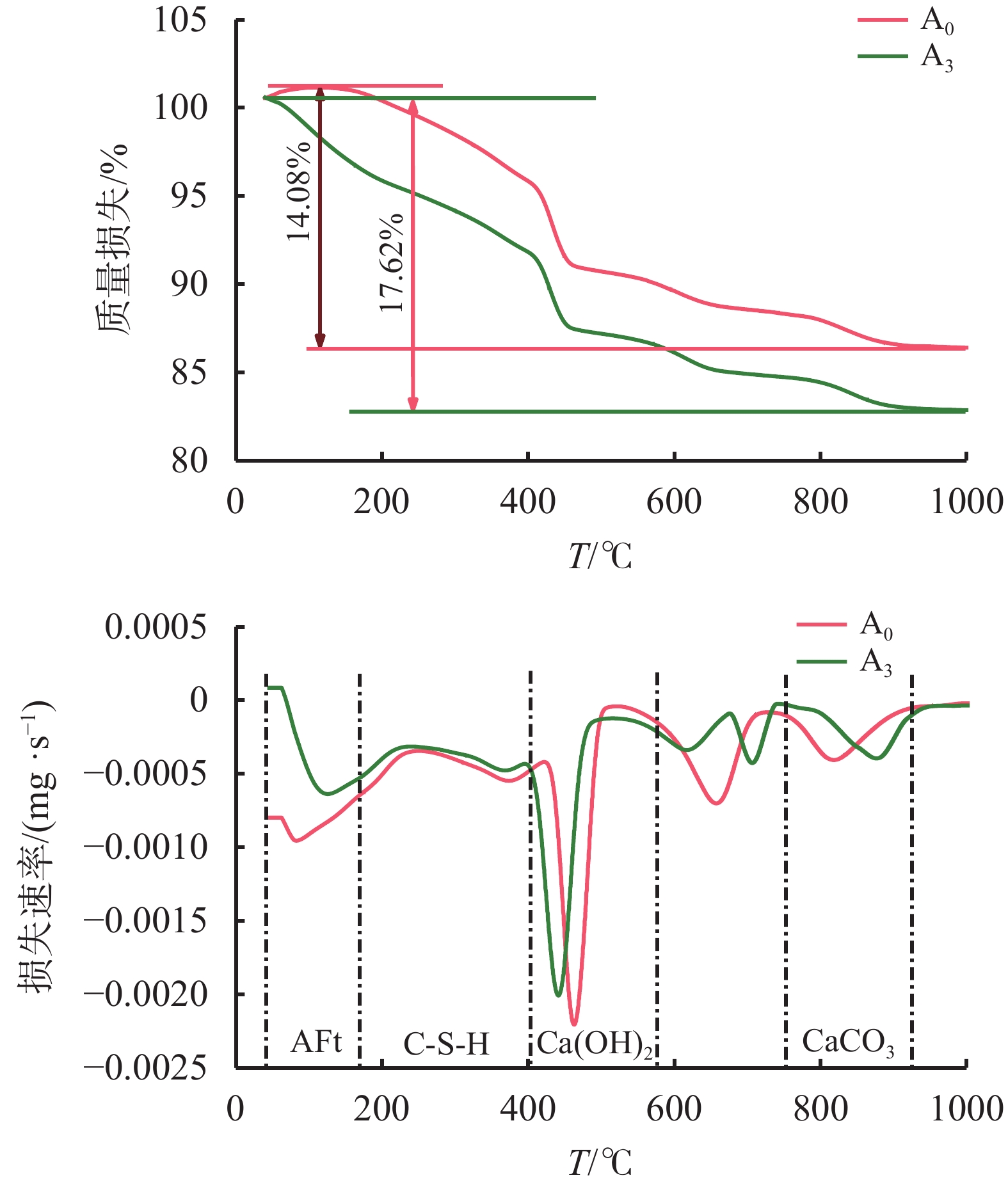
To improve the ability of set cement to resist carbonation-induced corrosion, the mobility, the strength of set cement and the depth of carbonation-induced corrosion in supercritical CO2 environment were measured of a cement slurry in which ultrafine slag was substituted for oil-well cement. This measurement was aimed to determine the appropriate amount of the slag to substitute cement. Using low-field NMR, XRD and SEM with energy dispersive spectroscopy, the mechanisms with which the substituting ultrafine slag affects the ability of the set cement to resist carbonation-induced corrosion was studied. It was concluded that when the substituting amount of the ultrafine slag is less than 40%, it helps improve the mobility of the cement slurry; when increasing the substituting amount of the ultrafine slag, the strength of the set cement first increases and then decreases, and the depths of the carbonation-induced corrosion first decrease and then increase. Compared with the reference sample, the cement slurry sample with substituting amount of 10% ultrafine slag has more gel pore developed while the number of capillary pores decreases. The cement slurry sample with substituting amount of more than 50% ultrafine slag has less gel pores and more capillary pores. The cement slurry sample with substituting amount of 30%-50% ultrafine slag has basically gel pores and no evident capillary pores. By associating the pore structure of the sample with the depth of the carbonation-induced corrosion, it was found that the sample containing substituting amount of 30%-50% ultrafine slag showed no significant corrosion, and this is relevant to the fact that it has no evident capillary pores. The sample containing substituting amount of 40% ultrafine slag has compact structure and no evident pores in the micromorphology. The hydration product of this sample is mainly fine fluffy-shaped CSH gel with low Ca/Si ratio, and contains less Ca(OH)2 mineral phase which is easily being corroded. Therefore, it is recommended that the appropriate substituting amount of ultrafine slag be around 40%.
Research on the Thermal Conductivity of Ultrafine Graphite and Carbon Fiber Reinforced Cement for Well Cementing
DANG Donghong, HUANG Zhongwei, QI Pengfei, WANG Hongke, REN Qiang, PENG Song, CHENG Xiaowei
2026, 43(1): 73-79. doi: 10.12358/j.issn.1001-5620.2026.01.010
Abstract(799) HTML (567) PDF (2957KB)(29)
Abstract:
To reduce the thermal resistance between the wellbore of a geothermal well and the rock formation and enhance the heat extraction capacity of the geothermal well, this paper selects graphite (SG) with excellent thermal conductivity as the heat-conducting material, and uses a surfactant to prepare a graphite dispersion. High aspect ratio carbon fibers (CF) are introduced to construct a heat-conducting network, which cooperatively improves the thermal conductivity of the cement paste. The performance of the graphite dispersion-cement slurry, as well as the mechanical and thermal conductivity properties of the cement paste, were evaluated. The phase composition, pore structure and microstructure of the cement paste were characterized by X-ray diffraction (XRD), thermogravimetric analysis (TG/DTG), mercury intrusion porosimetry (MIP) and scanning electron microscopy (SEM), and the thermal conduction mechanism was explored. The results show that when the W/S ratio is 0.51, the performance of the cement paste prepared by adding SG and CF meets the engineering requirements. The 24-hour compressive strength of the cement paste is not less than 17.0 MPa, the 7-day compressive strength is higher than 25.0 MPa, and its thermal conductivity can reach 2.86 W/(m·K). Under the combined effect of SG promoting hydration and CF inhibiting hydration, the weight loss of C—S—H and CH in the high-conductivity cement Ppaste was 10.91%, which was slightly lower than 11.04% of the pure cement paste. Appropriate SG can refine the pore size of the cement paste and reduce the porosity of the cement paste, while CF will significantly increase the porosity of the cement paste and increase the number of large pores. When the two are mixed, the porosity of the cement paste is 36.95%, which is higher than that of the pure cement paste. However, the number of pores larger than 70 nm in the high-conductivity cement paste is not much different from that of the pure cement paste. Adding SG and CF to the cement slurry can form a thermal conductivity network.
Mechanism and Performance of a Solids-Free One-Step Flushing Fluid for Drilling Fluid Filter Cake
ZHANG Fuming, ZHAO Hu, ZHANG Gaolei, ZHAO Jun, WANG Xueshan, CHENG Xiaowei
2026, 43(1): 80-88. doi: 10.12358/j.issn.1001-5620.2026.01.011
Abstract(689) HTML (508) PDF (7368KB)(28)
Abstract:
Environmentally friendly water-based drilling fluids are presently becoming widely used in offshore drilling with the increasing stringency of environmental regulations. The dense filter cakes formed by water-based drilling fluids can seriously impairs the quality of the bonding between cement sheath and the borehole wall. Taking the BIODRILL water-based drilling fluid as the research object, its composition and structural characteristics are revealed with analytical means including X-ray diffraction spectroscopy (XRD), Fourier transform infrared spectroscopy (FT-IR), scanning electron microscope (SEM) and thermalgravimetric analysis (TGA). It was found that the filter cake of the BIODRILL water-based drilling fluid is mainly composed of high molecular weight polymers, weighting materials and clay minerals, it exhibits low porosity and high strength, making it very difficult to be removed via conventional methods. Based on the mechanism of filter cake formation, a solids-free one-step flushing fluid was developed with oxalic acid, sodium fluoride (NaF), sodium ethylenediaminetetraacetic acid (EDTA-Na), rhamnolipid, and TWEEN 80. This flushing fluid achieves the efficient dissolution and peeling of filter cakes through a synergistic mechanism of “acidolysis – chelation – interface peeling – physical flushing”. Experimental results show that at a pH of 5.5, the flushing fluid can remove more than 80% of the filter cake in 15 minutes both at room temperature and at 85℃. The bonding strength of the cores after being flushed can be restored to more than 70% of that of the blank core, satisfying the field operation requirements for the performance of a flushing fluid. The research results not only reveal the difficulties in removing filter cakes and the mechanism with which the filter cakes are formed, but also provide new ideas and a theoretical basis for efficient removing filter cakes and enhancing the quality of bonding between the cement sheath and the borehole wall in complex borehole environments.
Quantitative Analysis Method for Residue Flushing Fluid Residue on Cement Sheaths and Its Effect on Set Cement
MENG Renzhou, XIA Xiujian, ZHANG Chi, XU Pu, QI Fengzhong, ZHAI Xianzhi
2026, 43(1): 89-95. doi: 10.12358/j.issn.1001-5620.2026.01.012
Abstract(368) HTML (152) PDF (3364KB)(15)
Abstract:
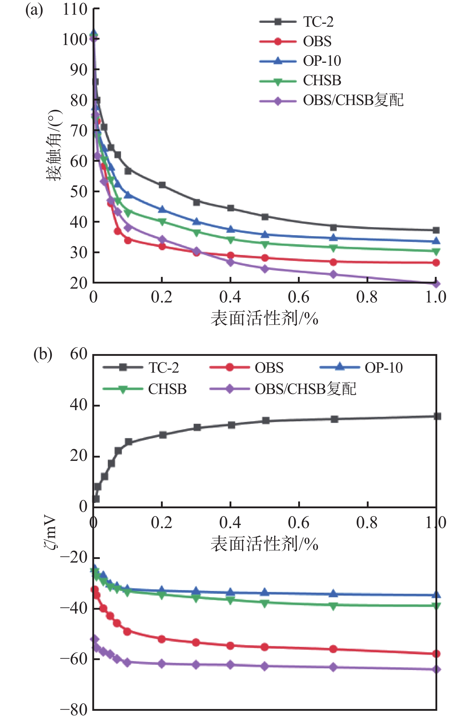
The cleaning of oil-based drilling fluids is a long-term problem faced with the exploration and development of unconventional resources such as shale oil and gas. Flushing fluid is the primary means to address this problem; however, few studies are conducted currently on the residual characteristics of flushing fluids at the interfaces and their impacts on set cement. A method of quantitatively measuring the amount of organic solvent-contained residual flushing fluids on the casing wall and borehole wall was established based on the fluorescent dye staining technique, and the pattern of how residual flushing fluids influence the mechanical properties of a set cement was analyzed. The research results show that after displacing the oil-based drilling fluid, the amount of the residual oil-based drilling fluid is lower, while the amount of the organic components in the residual flushing fluid is relatively higher, and the amount of these residual organic components is remarkably higher on rougher formation walls. The organic components of the flushing fluid can reduce the compressive strength and increase the permeability of the set cement at the interface of the cement sheath; however, the oil droplets in a nanoemulsion are small and have a uniform particle size distribution, which help mitigate the impact of the nanoemulsion on the microstructure of set cement. The good stability of a nanoemulsion in a cement slurry is a key prerequisite for the oil droplets to have small sizes and uniform distribution. Nonionic surfactants exhibit low adsorption capacity on the surface of cement particles, which reduces the impact of the cement particles on the stability of the interface film of the surfactants, and helps maintain the stability of the organic droplets of the nanoemulsion in a cement slurry. The quantitative method established for residual flushing fluid analysis and the understanding of the pattern how set cement is influenced obtained in this study provide a scientific basis for performance evaluation and optimization design of flushing fluids, as well as support for efficient exploration and development of deep and unconventional oil and gas resources.
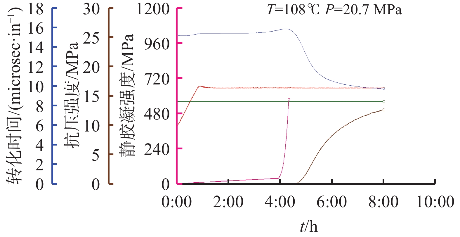
Study and Application of Cement Slurry for Mitigating Casing Deformation in Shale Gas Well Fracturing
CHEN Minhua, YU Zhaocai, ZHOU Chenyang, DENG Tian’an, ZHANG Shunping, LIU Bo, GUO Xueli
2026, 43(1): 96-103. doi: 10.12358/j.issn.1001-5620.2026.01.013
Abstract(693) HTML (537) PDF (4109KB)(23)
Abstract:
Shale gas reservoirs in the Sichuan-Chongqing area have complex geological structures and well-developed natural fractures, which always result in formation slip and casing deformation in long horizontal section well tight cluster fracturing operation. A new cement slurry system was developed to mitigate casing deformation problem and its performance was verified in field test. Based on the integrated finite element simulation of geology-engineering, the effect of the elastic modulus and deformation capacity of set cement on the casing stress were systematically analyzed, and it was determined to decrease the elastic modulus and to improve the deformation capacity of the set cement. A cement slurry was then developed using highly deformable materials and elastic materials, it has a moderate elastic modulus (< 5 GPa), the set cement has a deformation rate of more than 25%, and its engineering performance satisfies the needs of field operations. This cement slurry was successfully used on the well Z-1. Laboratory shear test results showed that this cement slurry can mitigate casing deformation better than other conventional cement slurries. In field fracturing operation, no casing deformation occurred during the whole operation process, confirming the remarkable technical effect of this cement slurry. The development of this cement slurry provides an innovative solution to the management of wellbore integrity in the whole lifecycle of shale gas wells.
FRACTUREING FLUID & ACIDIZING FLUID
A High Efficiency Low Damage Fracturing Fluid for Deep Coalbed Methane Development
ZHEN Huaibin, LI Shuguang, WANG Feng, GE Tengze, GAO Ersi, FENG Kun
2026, 43(1): 104-112. doi: 10.12358/j.issn.1001-5620.2026.01.014
Abstract(339) HTML (184) PDF (3955KB)(14)
Abstract:
In developing deep coalbed methane (CBM), existing fracturing fluids have deficiencies such as poor sand carrying capacity and high core damage. To overcome these deficiencies, a fracturing fluid system (HMP/OP) was developed with a main fracturing fluid agent designed and developed based on principles of supramolecular polymer chemistry. This main agent is used for deep CBM production and is physically crosslinked with surfactants to formulate the HMP/OP fracturing fluid with high sand carrying capacity and low formation damage. Laboratory experiments on its drag reducing performance, sand carry capacity, gel breaking capacity, core damage potential as well as adsorption/desorption capacity show that HMP/OP can significantly reduce flow drag (by 73%). At 100℃ and 20% sand content, the time for the sand to be suspended by the HMP/OP fracturing fluid is 110 min, and the settling rate of sand is 0.8 cm/min. At 80℃, after gel breaking for 2 hours, the viscosity and the residue content of the fluid are 4.63 mPa·s and 353.12 mg/L, respectively. The percent core damage caused by the HMP/OP fluid after gel breaking is only 17.44%. Moreover, the adsorption capacity of HMP/OP on the surfaces of coal rocks is only 0.32 mg/g. Adding 0.2% desorption agent (SH-12) into the HMP/OP fluid, 1.72 mL/g methane can be separated from the fluid after gel breaking. The fracturing fluid HMP/OP, developed through physical crosslinking, possesses high sand ratio, low formation damage, low adsorption capacity and enhanced methane desorption capacities, satisfying the engineering technical requirements of efficient development of coalbed methane.
Study on the Performance and Mechanism of the Acid-Oxidation Dual-Target Blocking Removing System
QI Chunmin, XIA Yu, TANG Shanfa, ZHAO Lianji
2026, 43(1): 113-119. doi: 10.12358/j.issn.1001-5620.2026.01.015
Abstract(415) HTML (241) PDF (2645KB)(15)
Abstract:
“Organic-inorganic composite blocking” (interweaving of reservoir polymer residue/biofilm and calcium carbonate scale) is the cause of pressure increase and rate of recovery decline in a water injection block in Yanchang oilfield. In this study, instead of focusing on blocking removal with a single method, a “synergy of acid oxidation with dual-targeting blocking removal technology” is presented. By constructing a ternary synergistic system of sulfamic acid (inorganic targeting)-persulphate (organic targeting)-glycoside surfactant (permeation targeting), full blocking removal by “scale breaking-degradation-unclogging” is realized. Studies show that targeting dissolution of calcium carbonate scale can be realized with sulfamic acid (8%) and hydrochloric acid (2%), the rate of dissolution reaches 85.96% and corrosion inhibition can be realized simultaneously (the rate of corrosion < 0.076 mm/a). Ammonium persulphate, after heat activated, releases radicals (SO4·/·OH) which precisely degrade polymers and biofilms. Alkyl polyglycoside (APG-12) can reduce surface tension and push the blocking removal agents to go deep into the micro pore throats. Field application has shown that after removing the blockages from the micro pores, the water injection pressure was reduced by 1.5 MPa and time for the blocking removing measures to remain effective exceeded 200 d. This technology provides an integrated solution, which is “mechanism-technology-application”, to the long-term effective treatment of injection well blocking problem.
Preparation of Fracturing Fluids With Viscoelastic Surfactants and Its Adsorption/Desorption Properties on Shale Gas
HUANG Shengming, JIANG Guancheng, JIAO Qingli, FENG Qi, WANG Quande, DONG Tengfei, HE Yinbo, YANG Lili
2026, 43(1): 120-129. doi: 10.12358/j.issn.1001-5620.2026.01.016
Abstract(312) HTML (148) PDF (4485KB)(11)
Abstract:
Aiming at the problems of poor sand-carrying capacity, high residue after breaking the hydroxypropyl guanidine gel (HPG) fracturing fluid, and great damage to the reservoir, an Zwitterionic surfactant, erucic acid amidopropyl hydroxysulfobetaine (EAPHS), was synthesized, and a Viscoelastic Surfactant (VES) system was prepared by optimizing the ratio of the VES system to the counter-ionic salt, sodium salicylate (NaSal). The viscosity of the VES fracturing fluid system was 34 mPa-s after constant shear for 60 min at 120℃ and 170 s−1, with excellent anti-shear performance, the drag reduction efficiency of the system was 63.1%, and the damage rate to the core was only 7.34%, which indicated that the VES fracturing fluid system had a better reservoir protection effect, and was able to effectively reduce the secondary damage to the reservoir after fracturing. It shows that the VES fracturing fluid system has good reservoir protection effect and can effectively reduce the secondary damage to the reservoir after fracturing. After VES fracturing fluid treatment, the microfractures of the core increased and the pore connectivity was enhanced, the wettability of the core surface was reversed from oleophilic to hydrophilic, and the nitrogen adsorption, specific surface area and pore volume of the core increased, which is conducive to methane desorption and exploitation, and under the same equilibrium pressure conditions, the methane desorption volume increased significantly after VES fracturing fluid treatment. The VES fracturing fluid system was applied in the field of Ningye X-1 well in the Sichuan Basin, and the pressure was smooth during the construction process, and the gas production rate was increased by more than 15%, which achieved better application results. This study provides guidance and reference value for the subsequent construction of VES fracturing fluid system and the efficient development of shale gas.
COMPLETION FLUID
Development and Performance Evaluation of a Degradable Temporary Plugging Agent for Wellbore Reconstruction
YANG Qi, LUO Yougang, XI Mingli, CHEN Wei, ZHAO Pengyu, LI Dejun
2026, 43(1): 130-135. doi: 10.12358/j.issn.1001-5620.2026.01.017
Abstract(367) HTML (203) PDF (2726KB)(13)
Abstract:
In wellbore reconstruction operations such as repairing damaged casings and remedial cementing, oil and/or gas zones need to be temporarily plugged off. To perform this job, a degradable compound core-shell structure gel temporary plugging agent was designed and developed with raw materials AM and PLA. The core-shell structure uses PLA as the core and PAM as the shell. The temporary plugging agent is synthesized through inverse suspension polymerization, with MBA being the crosslinking agent. The temporary plugging agent was molecularly analyzed with FT-IR and TGA, and its performance was compared with polyacrylamide-type temporary plugging agents used in field operations. The results of the experiments show that the degradable temporary plugging agent has good thermal stability, and at temperatures up to 206℃, there is no thermal degradation of the temporary plugging agent taking place. The degradable temporary plugging agent can be used in wellbore reconstruction in these formation conditions: 60℃-90℃, pH≤11 and salinity≤50 g/L. The field operation has proved that the degradable temporary plugging agent is equivalent in performance to polyacrylamide-type temporary plugging agents in plugging formations and removing formation blockage, but has better high temperature stability, causes lower formation damage and is more cost effective, and water injection into wells operated with this degradable temporary plugging agent can be earlier restored.
Molecular Simulation on Fluid-to-Solid Phase Transition of Pressure-Activated Sealants
XU Changfeng, WANG Jianjun, ZHAO Nan, SU Huaiyu, YANG Siqi, FU Jianglong, XU Lin, WANG Lei
2026, 43(1): 136-144. doi: 10.12358/j.issn.1001-5620.2026.01.018
Abstract(320) HTML (174) PDF (4562KB)(13)
Abstract:
Pressure Activated Sealant(PAS) is a type of polydisperse-phase fluid composed of rubber microparticle composite droplets. The liquid membrane of these composite droplets in PAS undergoes deformation and fragmentation under the impact of pressure differentials, exposing the interface of the rubber particles. The active functional groups at the interface promote microscopic phase coalescence and growth through chemical bonding, ultimately filling micro-leakage pores in situ and completing the mechanically-chemical coupled sealing process. Previous research explored the mechanical deformation behavior of composite droplets under pressure-differential impacts. To further investigate the chemical behavior of coalescence derivation, this work integrates the microstructural parameters of rubber microparticle composite droplets with quantum chemistry and molecular dynamics methods. A molecular model of the aggregated core state within the dispersed phase was constructed, and the following analyses were conducted, including Electrostatic Potential (ESP), Fukui simplified functions and frontier molecular orbitals (FMO), and aggregated spatial configuration (the radius of gyration and radial distribution function). The results showed that: ①Electron-rich carboxyl oxygen (O) and cyano nitrogen (N) atoms, along with electron-deficient conjugated carbon chains, constituted the active sites of the polymeric aggregation, wherein carboxyl O and cyano N atoms exhibited strong nucleophilic capabilities, while conjugated carbon chains demonstrated the strongest electrophilic tendencies; ② The aggregation state displayed a core-shell configuration, with the active carboxyl O and cyano N atoms forming the shell layers surrounding the core, showing unique hierarchical distribution. The nucleophilic and electrophilic regions of the aggregation formed a interesting "lock-and-key" structure, which is conducive to spatial recognition and enhancing the stability of aggregated adsorption and association; ③ The coalescence and fusion of the dispersed phase cores underwent four stages: outer molecular chain convergence, molecular volume collapse, initial contact, and inner molecular chain diffusion, ultimately leading to spontaneous growth into larger aggregated molecules. These findings reveal the chemical driving forces of coalescence within the dispersed phase at the atomic and molecular levels, which can not only improve the dynamic-chemical coupling model of the pressure difference-induced solidification in multiphase dispersed fluid, but also provide methodological insights for exploring the structure-property relationship of functional additives from a "molecular engineering" perspective.