Volume 43 Issue 2
Apr.  2026
Turn off MathJax
Article Contents
YUAN Pu, MU Songtao, WEI Zhenji, et al.Study on interface effect of surfactant/coal composite system and desorption law of methane[J]. Drilling Fluid & Completion Fluid,2026, 43(2):262-271 doi: 10.12358/j.issn.1001-5620.2026.02.015
Citation: YUAN Pu, MU Songtao, WEI Zhenji, et al.Study on interface effect of surfactant/coal composite system and desorption law of methane[J]. Drilling Fluid & Completion Fluid,2026, 43(2):262-271 doi: 10.12358/j.issn.1001-5620.2026.02.015

Study on Interface Effect of Surfactant/Coal Composite System and Desorption Law of Methane

doi: 10.12358/j.issn.1001-5620.2026.02.015
  • Received Date: 2025-08-22
  • Rev Recd Date: 2025-12-05
  • Publish Date: 2026-04-08
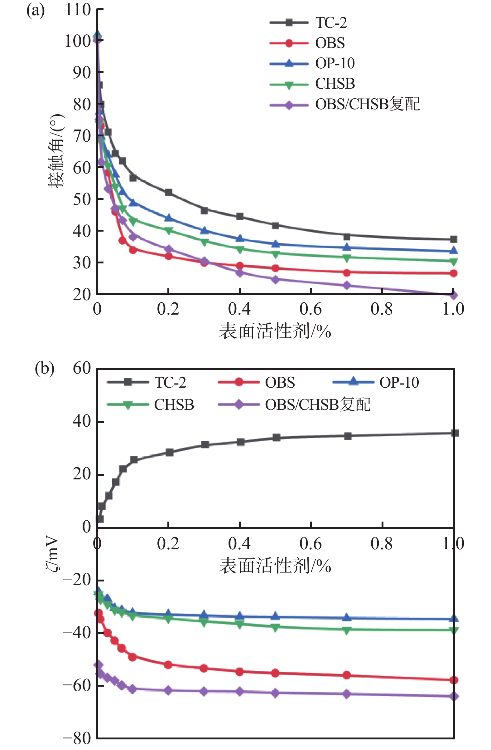
  • To address the key issue of surfactant-controlled coal wettability and desorption of methane in deep coalbed methane (CBM) development, coal-rock samples were taken from the Benxi Formation of the Erdos Basin to study the pattern of how surfactants, including cationic surfactant (TC-2), anionic surfactant (OBS), nonionic surfactant (OP-10) and zwitterionic surfactant (CHSB), affect the wettability of the coal rocks and the desorption process of methane. It was found in laboratory experiments, including surface tension measurement, contact angle measurement, Zeta potential characterization, imbibition experiment and micromorphology analysis, that the composite surfactant system OBS/CHSB, with their synergistic effect between the ionic surfactant and the zwitterionic surfactant, reduces the surface tension of the solution to 20.95 mN/m, and decreases the initial contact angle of the coal-rocks to 30.764°. This synergistic effect comes from the strong electronegativity of the sulfonic acid groups, which induces the expansion of the double electric layer, forcing the surfactant molecules to have their hydrophilic groups oriented outward. Meanwhile, the betaine groups of the surfactant CHSB reduce the micelle sizes through the charge shielding effect, enhancing the penetration capacity of the solution through the organic matter-clay mineral interface and further inducing the development of secondary solution pores. Fourier transform infrared spectroscopy (FT-IR) analysis further indicated that OBS treatment, through competitive adsorption, significantly increases the content of the carboxylic group (-COOH) on the coal surfaces to 18.88%, while TC-2, through π-π conjugation effect, increases its adsorption capacity on the coal surfaces. Methane desorption experimental results showed that at 0.5% OBS/CHSB composite surfactant treatment, the desorption capacity of methane reaches 7.37 mL/g, a percent increase of 78.5% over the raw coal. The mechanism of this effect can be attributed to the synergistic effect between wettability optimization and pore connectivity enhancement: the former weakens the confinement of capillary force on methane, while the latter forms multi-stage diffusion channels, hence achieving the synchronous improvement of diffusion-seepage dual-mode mass transfer efficiency. In field application, wells fractured with 0.3% desorption accelerator treatment in the fracturing fluids can produce gas in 5 days, with a stable gas production rate maintained at 6.6×104 m3/d. The study confirmed that the composite surfactant system overcomes the contradiction between wettability regulation and pore plugging via the synergistic mechanism of “charge matching-pore reconstruction-mass transfer enhancement,” providing a theoretical basis for the efficient development of deep CBM resources.

     

  • loading
  • [1]
    方志明, 王润东, 杨晨龙. 深部煤层气开发的机遇与挑战[J]. 中国矿业大学学报, 2025, 54(1): 34-51.

    FANG Zhiming, WANG Rundong, YANG Chenlong. Opportunities and challenges in deep coalbed methane development[J]. Journal of China University of Mining & Technology, 2025, 54(1): 34-51.
    [2]
    邹才能, 林敏捷, 马锋, 等. 碳中和目标下中国天然气工业进展、挑战及对策[J]. 石油勘探与开发, 2024, 51(2): 418-435.

    ZOU Caineng, LIN Minjie, MA Feng, et al. Development, challenges and strategies of natural gas industry under carbon neutral target in China[J]. Petroleum Exploration and Development, 2024, 51(2): 418-435.
    [3]
    王立辉. 表面活性剂浓度对煤岩润湿性影响的实验研究[J]. 当代化工, 2019, 48(1): 52-55.

    WANG Lihui. Research on the influence of surfactant concentration on the wettability of coal rock[J]. Contemporary Chemical Industry, 2019, 48(1): 52-55.
    [4]
    贾东旭. 表面活性剂对煤的润湿性与瓦斯解吸性能的影响研究[J]. 煤矿安全, 2025, 56(2): 23-32.

    JIA Dongxu. Study on the influence of surfactant on wettability and gas desorption properties of coal[J]. Safety in Coal Mines, 2025, 56(2): 23-32.
    [5]
    SHI Y P, CHEN S Y, YANG X Y, et al. Enhancing wellbore stability of coal measure strata by electrical inhibition and wettability control[J]. Journal of Petroleum Science and Engineering, 2019, 174: 544-552. doi: 10.1016/j.petrol.2018.11.052
    [6]
    CHEN X Y, SHI B, CAO Y X, et al. Study on the wettability and methane desorption characteristics of coal under high pressure with different surfactants[J]. ACS Omega, 2024, 9(18): 20012-20020. doi: 10.1021/acsomega.3c09941
    [7]
    ZHU M Y, LIU Z, YANG H, et al. Study on the influence of surfactant solution on the wetting and chemical structure characteristics of coal at different temperatures[J]. Langmuir, 2024, 40(51): 27091-27103. doi: 10.1021/acs.langmuir.4c04171
    [8]
    WANG S J, SHI S L, JIANG B Y, et al. Influence of surfactant adsorption on coal oxidation and wettability: experimental discussion and model development[J]. Energy, 2024, 297: 131304. doi: 10.1016/j.energy.2024.131304
    [9]
    WU K K, BAI X Y, YAN G C, et al. Technologies for effective coal dust suppression using surfactants: a review of dust suppression programs and evaluation criteria[J]. Advanced Powder Technology, 2025, 36(5): 104837. doi: 10.1016/j.apt.2025.104837
    [10]
    ZOU Q L, HUO Z X, LIU T, et al. Influence of nanoparticle–surfactant compound solution on coal wettability[J]. Energy & Fuels, 2024, 38(15): 14064-14071.
    [11]
    岳基伟, 李文琪, 王辰, 等. 十二烷基型表面活性剂亲水基团对含瓦斯煤润湿的调控行为及机制[J]. 煤炭学报, 2025, 50(2): 975-989.

    YUE Jiwei, LI Wenqi, WANG Chen, et al. Regulation behavior and mechanism of hydrophilic groups of dodecyl surfactants on wetting of gas-bearing coal[J]. Journal of China Coal Society, 2025, 50(2): 975-989.
    [12]
    杜常博, 程传旺, 易富, 等. 复配表面活性剂对烟煤润湿性影响及微观机理研究[J]. 煤炭科学技术, 2024, 52(11): 346-355.

    DU Changbo, CHENG Chuanwang, YI Fu, et al. Study on effect of compound surfactants on wettability of bituminous coal and its microscopic mechanism[J]. Coal Science and Technology, 2024, 52(11): 346-355.
    [13]
    安文博, 王来贵. 表面活性剂作用下煤体力学特性及改性规律[J]. 煤炭学报, 2020(12): 4074-4086.

    AN Wenbo, WANG Laigui. Mechanical properties and modification of coal under the action of surfactant[J]. Journal of China Coal Society, 2020(12): 4074-4086.
    [14]
    李树刚, 闫冬洁, 严敏, 等. 糖脂活性剂对煤体润湿及微观结构特性影响试验[J]. 安全与环境学报, 2022, 22(2): 680-687.

    LI Shugang, YAN Dongjie, YAN Min, et al. Experimental study on effect of glycolipid biosurfactant on coal wetting and microstructure[J]. Journal of Safety and Environment, 2022, 22(2): 680-687.
  • 加载中

Catalog

    通讯作者: 陈斌, bchen63@163.com
    • 1. 

      沈阳化工大学材料科学与工程学院 沈阳 110142

    1. 本站搜索
    2. 百度学术搜索
    3. 万方数据库搜索
    4. CNKI搜索

    Figures(11)  / Tables(3)

    Article Metrics

    Article views (12) PDF downloads(0) Cited by()
    Proportional views
    Related

    /

    DownLoad:  Full-Size Img  PowerPoint
    Return
    Return