Volume 43 Issue 2
Apr.  2026
Turn off MathJax
Article Contents
DENG Fei, ZHANG Ye, JIANG Peng, et al.Mechanism of contact contamination between shale inhibitors and well cement slurries and solutions thereto[J]. Drilling Fluid & Completion Fluid,2026, 43(2):242-249 doi: 10.12358/j.issn.1001-5620.2026.02.013
Citation: DENG Fei, ZHANG Ye, JIANG Peng, et al.Mechanism of contact contamination between shale inhibitors and well cement slurries and solutions thereto[J]. Drilling Fluid & Completion Fluid,2026, 43(2):242-249 doi: 10.12358/j.issn.1001-5620.2026.02.013

Mechanism of Contact Contamination between Shale Inhibitors and Well Cement Slurries and Solutions Thereto

doi: 10.12358/j.issn.1001-5620.2026.02.013
  • Received Date: 2025-10-29
  • Rev Recd Date: 2025-12-10
  • Publish Date: 2026-04-08
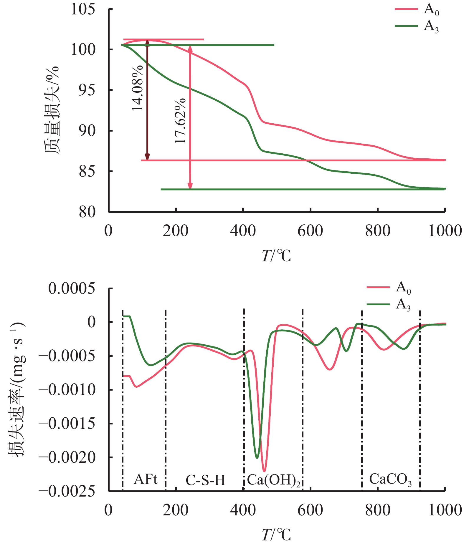
  • To solve the contact contamination between a cement slurry and a drilling fluid, drilling fluid additives that impose serious contamination to the cement slurry are selected and studied to understand their mechanisms of contamination and to find ways of preventing the contamination. As one of the commonly used drilling fluid additives, shale inhibitor DFZ-7 has significant effects on the rheology of the cement slurry. The effects of DFZ-7 on the performance of the cement slurry and its contamination mechanism were investigated by means of fluidity test, compressive strength test, XRD, IR, TG and SEM etc., and as a result of the investigation, an effective anticontamination strategy was developed. Experimental results show that at the early stage of cement hydration, the active groups in the DFZ-7 molecules can complex with the metallic cations on the surfaces of the cement particles to form network structures which hinder the movement of free water, causing the fluidity of the cement slurry to decrease and the viscosity thereof to increase. An anticontamination agent named KW was prepared by mixing aminotrimethylenephosphonic acid (ATMP) and titanium dioxide (TiO2) in a mass ratio of 5∶1. KW can be used to solve the contamination of DFZ-7 to the cement slurry through chelation and interstitial action. By adding 5% KW in the cement slurry, the fluidity of the cement slurry returned from 17.6 cm to 23.8 cm, and the strength of the set cement aging at 90 ℃ for 1 d was increased from 1.56 MPa to 8.74 MPa. A mixture of the cement slurry and a drilling fluid (cement slurry∶drilling fluid = 7∶3) had a thickening time of 55 min under the test conditions of 205 ℃ × 125 MPa × 110 min. After treatment with KW (cement slurry∶drilling fluid∶spacer = 7∶2∶1), the thickening time of the mixture was increased to 353 min, satisfying the needs of operation. In the set cement, the number of the network structures generated by DFZ-7 complexation decreased and the content of hydration products increased. The incorporation of KW can solve the contact contamination to the cement slurry by DFZ-7, without changing the composition of the hydration products of the cement slurry.

     

  • loading
  • [1]
    马勇, 郭小阳, 姚坤全, 等. 钻井液与水泥浆化学不兼容原因初探[J]. 钻井液与完井液, 2010, 27(6): 46-48. doi: 10.3969/j.issn.1001-5620.2010.06.013

    MA Yong, GUO Xiaoyang, YAO Kunquan, et al. Research of chemical contamination between drilling fluids and slurry[J]. Drilling Fluid & Completion Fluid, 2010, 27(6): 46-48. doi: 10.3969/j.issn.1001-5620.2010.06.013
    [2]
    李晓春, 李宁, 刘锐, 等. 有机盐钻井液与水泥浆接触污染机理探讨及防止对策[J]. 钻采工艺, 2019, 42(6): 102-104,109. doi: 10.3969/J.ISSN.1006-768X.2019.06.29

    LI Xiaochun, LI Ning, LIU Rui, et al. Mechanism and prevention strategies of contamination between organic salt drilling fluid and cement slurry[J]. Drilling & Production Technology, 2019, 42(6): 102-104,109. doi: 10.3969/J.ISSN.1006-768X.2019.06.29
    [3]
    李刊, 魏智强, 乔宏霞, 等. 四大类外掺材料对聚合物改性水泥基材料性能影响的研究进展[J]. 材料导报, 2021, 35(增刊1): 654-661.

    LI Kan, WEI Zhiqiang, QIAO Hongxia, et al. Research progress of the influence of four kinds of admixtures on the properties of polymer cement-based materials[J]. Materials Review, 2021, 35(S1): 654-661.
    [4]
    孔祥明, 卢子臣, 张朝阳. 水泥水化机理及聚合物外加剂对水泥水化影响的研究进展[J]. 硅酸盐学报, 2017, 45(2): 274-281. doi: 10.14062/j.issn.0454-5648.2017.02.15

    KONG Xiangming, LU Zichen, ZHANG Zhaoyang. Recent development on understanding cement hydration mechanism and effects of chemical admixtures on cement hydration[J]. Journal of the Chinese Ceramic Society, 2017, 45(2): 274-281. doi: 10.14062/j.issn.0454-5648.2017.02.15
    [5]
    李明, 杨雨佳, 李早元, 等. 固井水泥浆与钻井液接触污染作用机理[J]. 石油学报, 2014, 35(6): 1188-1196. doi: 10.7623/syxb201406017

    LI Ming, YANG Yujia, LI Zaoyuan, et al. Mechanism of cement contamination by drilling fluid[J]. Acta Petrolei Sinica, 2014, 35(6): 1188-1196. doi: 10.7623/syxb201406017
    [6]
    陈翔宇, 李建元, 沈栋. 固井水泥浆与钻井液接触污染作用探讨[J]. 石化技术, 2023, 30(1): 70-72. doi: 10.3969/j.issn.1006-0235.2023.01.024

    CHEN Xiangyu, LI Jianyuan, SHEN Dong. Discussion on the contact pollution effect of well mud and drilling fluid[J]. Petrochemical Industry Technology, 2023, 30(1): 70-72. doi: 10.3969/j.issn.1006-0235.2023.01.024
    [7]
    CAI J X, WANG M, ZHOU S M, et al. Mechanical properties of graphite-oil well cement composites under high temperature[J]. ACS Omega, 2022, 7(16): 14148-14159. doi: 10.1021/acsomega.2c00717
    [8]
    杨兆亮, 刘森, 沈欣宇, 等. 钻井液降滤失剂与水泥浆接触污染机理及防止对策[J]. 钻井液与完井液, 2024, 41(6): 792-799. doi: 10.12358/j.issn.1001-5620.2024.06.013

    YANG Zhaoliang, LIU Sen, SHEN Xinyu, et al. Mechanisms of cement slurry contamination by drilling fluid filtration agents and measures of preventing the contamination[J]. Drilling Fluid & Completion Fluid, 2024, 41(6): 792-799. doi: 10.12358/j.issn.1001-5620.2024.06.013
    [9]
    刘日淦. 钻井液常见污染问题及处理策略探究[J]. 石化技术, 2024, 31(7): 332-334. doi: 10.3969/j.issn.1006-0235.2024.07.117

    LIU Rigan. Common contamination issues in drilling fluids and treatment strategies[J]. Petrochemical Industry Technology, 2024, 31(7): 332-334. doi: 10.3969/j.issn.1006-0235.2024.07.117
    [10]
    何冠羲, 姜洪斌, 梁悦, 等. 表面活性剂提高页岩气井固井水泥浆的抗污染性能评价[J]. 油田化学, 2023, 40(1): 32-38. doi: 10.19346/j.cnki.1000-4092.2023.01.006

    HE Guanxi, JIANG Hongbin, LIANG Yue, et al. Anti-pollution performance improvement of shale gas well cement slurry by surfactant[J]. Oilfield Chemistry, 2023, 40(1): 32-38. doi: 10.19346/j.cnki.1000-4092.2023.01.006
    [11]
    孙威. 钻井液处理剂对固井水泥浆的污染影响研究[J]. 西部探矿工程, 2022, 34(3): 91-93.

    SUN Wei. Study on contamination effects of drilling fluid additives on cement slurry[J]. West-China Exploration Engineering, 2022, 34(3): 91-93.
    [12]
    周代生, 李茜, 张启根, 等. 井浆改造固井隔离液的评价与应用[J]. 钻井液与完井液, 2018, 35(3): 100-104. doi: 10.3969/j.issn.1001-5620.2018.03.017

    ZHOU Daisheng, LI Qian, ZHANG Qigen, et al. Evaluation and application of a pollution resistant spacer fluid GLJ converted from active mud[J]. Drilling Fluid & Completion Fluid, 2018, 35(3): 100-104. doi: 10.3969/j.issn.1001-5620.2018.03.017
    [13]
    袁中涛, 杨谋, 李晓春, 等. 油基钻井液与水泥浆接触污染内因探讨[J]. 石油钻采工艺, 2017, 39(5): 574-579.

    YUAN Zhongtao, YANG Mou, LI Xiaochun, et al. Discussion on the internal causes of contact contamination between oil-base drilling fluid and cement slurry[J]. Oil Drilling & Production Technology, 2017, 39(5): 574-579.
    [14]
    李明, 杨雨佳, 张冠华, 等. 钻井液中生物增黏剂对固井水泥浆性能及结构的影响[J]. 天然气工业, 2014, 34(9): 93-98. doi: 10.3787/j.issn.1000-0976.2014.09.015

    LI Ming, YANG Yujia, ZHANG Guanhua, et al. Impact of a biological tackifier in a drilling fluid system on the performance and structure of a cement slurry[J]. Natural Gas Industry, 2014, 34(9): 93-98. doi: 10.3787/j.issn.1000-0976.2014.09.015
    [15]
    武治强, 岳家平, 幸雪松, 等. 一种新型抗污染固井前置液体系研究及应用[J]. 石油化工应用, 2021, 40(8): 48-52. doi: 10.3969/j.issn.1673-5285.2021.08.010

    WU Zhiqiang, YUE Jiaping, XING Xuesong, et al. Research and application of a new type of anti-pollution cementing pre-liquid system[J]. Petrochemical Industry Application, 2021, 40(8): 48-52. doi: 10.3969/j.issn.1673-5285.2021.08.010
    [16]
    易亚军. 常用钻井液处理剂对固井水泥浆的污染研究[D]. 成都: 西南石油大学, 2014.

    YI Yajun. Study on pollution of common drilling fluid treating agent to cementing slurry[D]. Chengdu: Southwest Petroleum University, 2014.
    [17]
    GAUTAM R, HAZRA A, FAUJDAR P, et al. Effect of size-controlled nanofluid on mechanical properties, microstructure, and rheological behavior of cement slurry for oil well cementing[J]. ACS Omega, 2024, 9(48): 47739-47755. doi: 10.1021/acsomega.4c07871
    [18]
    刘子阳. 纳米材料对石灰浆性能的影响研究[D]. 广州: 广州大学, 2021.

    LIU Ziyang. Effect of nanomaterials on the properties of lime[D]. Guangzhou: GuangZhou University, 2021.
  • 加载中

Catalog

    通讯作者: 陈斌, bchen63@163.com
    • 1. 

      沈阳化工大学材料科学与工程学院 沈阳 110142

    1. 本站搜索
    2. 百度学术搜索
    3. 万方数据库搜索
    4. CNKI搜索

    Figures(16)

    Article Metrics

    Article views (17) PDF downloads(0) Cited by()
    Proportional views
    Related

    /

    DownLoad:  Full-Size Img  PowerPoint
    Return
    Return