Volume 43 Issue 2
Apr.  2026
Turn off MathJax
Article Contents
JI Xiangui, YU Gang, WANG Haitao, et al.Cementing slurry technology for ultra-deep and high-pressure gas storage[J]. Drilling Fluid & Completion Fluid,2026, 43(2):223-233 doi: 10.12358/j.issn.1001-5620.2026.02.011
Citation: JI Xiangui, YU Gang, WANG Haitao, et al.Cementing slurry technology for ultra-deep and high-pressure gas storage[J]. Drilling Fluid & Completion Fluid,2026, 43(2):223-233 doi: 10.12358/j.issn.1001-5620.2026.02.011

Cementing Slurry Technology for Ultra-deep and High-pressure Gas Storage

doi: 10.12358/j.issn.1001-5620.2026.02.011
  • Received Date: 2025-10-18
  • Rev Recd Date: 2025-11-26
  • Publish Date: 2026-04-08
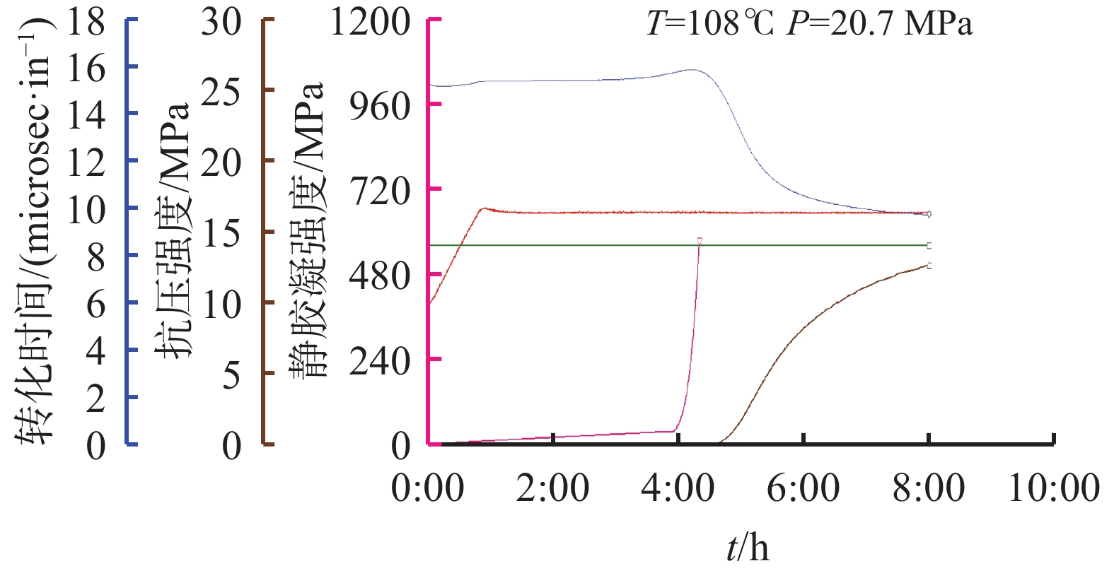
  • With the drilling of gas storage wells in the Tarim basin towards ultra-deep high-pressure formations, well cementing engineering is confronted with multiple challenges, including deeper well drilling, high bottomhole temperature, low displacement efficiency, high risk of gas channeling, and easy failure of cement sheath under alternating loads. Conventional cement slurries can hardly satisfy the requirements of well cementing under such conditions. To deal with these challenges, a high strength tough self-healing cement slurry system suitable for cementing ultra-deep high-pressure gas-storage wells was developed with three core materials optimally selected through a large number of experiments, which are toughening agent BCE-X, self-healing agent BCY-Y and low viscosity filter loss reducer BCF-Z. In the development of the cement slurry system, the mechanisms of improving the strength of a tough cement slurry were investigated from close-packing theory, water/cement ratio control and displacement efficiency optimization, with the cement displacement process also optimized. The results of the research show that the high strength tough self-healing cement slurry system has a density range of 1.86-1.92 g/cm3, an adjustable thickening time, an API filter loss ≤ 50 mL, a settlement density difference of 0, a free water of 0, a 7-d elastic modulus < 6.0 GPa, and a 7-d compressive strength at90 ℃>30 MPa. This technology has been successfully applied in cementing the liner of the third-interval in the gas-storage well YC-H11 in the block Yaha in the Tarim oilfield. The percent qualified cementing job of the whole well is 99.7%, the rate of excellent job quality reaches 85.9%, and the continuous high-quality cement sheath in the cap rock section is longer than 25 m. It is concluded that through the synergistic effect of mechanical performance optimization and displacement efficiency enhancement, this technology significantly improves the long-term sealing integrity of ultra-deep high-pressure gas storage wells, providing reliable technical support for efficient construction of similar gas storage wells.

     

  • loading
  • [1]
    宋文杰, 江同文, 冯积累, 等. 塔里木盆地牙哈凝析气田地质特征与开发机理研究[J]. 地质科学, 2005, 40(2): 274-283.

    SONG Wenjie, JIANG Tongwen, FENG Jilei, et al. Geological features and exploitation mechanism of the Yaha condensate gas field in the Tarim basin[J]. Chinese Journal of Geology, 2005, 40(2): 274-283.
    [2]
    倪华峰. 陕224区块储气库水平井钻完井关键技术优化[J]. 石油钻采工艺, 2023, 45(1): 31-37.

    NI Huafeng. Optimization on key technologies for drilling and completion of horizontal wells in gas storage in Shan 224 block[J]. Oil Drilling & Production Technology, 2023, 45(1): 31-37.
    [3]
    初永涛, 刘奎, 蒋新立, 等. 循环载荷对高温环境水泥石微观结构及力学性能的影响[J]. 石油钻探技术, 2025, 53(4): 55-64.

    CHU Yongtao, LIU Kui, JIANG Xinli, et al. Effect of cyclic loading on mechanical properties and microstructure of cement stone in high-temperature environments[J]. Petroleum Drilling Techniques, 2025, 53(4): 55-64.
    [4]
    郑睿, 张峥, 李渊, 等. 四川盆地复杂深层天然气井固井密封完整性控制技术[J]. 西部探矿工程, 2025, 37(4): 58-61.

    ZHENG Rui, ZHANG Zheng, LI Yuan, et al. Cementing sealing integrity control technology for complex deep natural gas wells in Sichuan basin[J]. West-China Exploration Engineering, 2025, 37(4): 58-61.
    [5]
    田磊聚, 朱海金, 卢海川, 等. 改善固井水泥石力学性能的研究进展[J]. 钻井液与完井液, 2024, 41(6): 695-708.

    TIAN Leiju, ZHU Haijin, LU Haichuan, et al. Progress in studying on improving mechanical property of set cement in well cementing[J]. Drilling Fluid & Completion Fluid, 2024, 41(6): 695-708.
    [6]
    杜晓雨, 王学海, 贾彦龙, 等. 东胜页岩气超长水平段水平井固井关键技术[J]. 石油机械, 2023, 51(4): 46-53.

    DU Xiaoyu, WANG Xuehai, JIA Yanlong, et al. Key technologies for cementing of shale gas well with ultra-long horizontal section in Dongsheng block[J]. China Petroleum Machinery, 2023, 51(4): 46-53.
    [7]
    凌伟汉. 稠油热采井固井耐高温弹性增韧剂的性能研究[J]. 石油化工应用, 2023, 42(8): 29-32, 37.

    LING Weihan. Study on the performance of high temperature resistant elastic toughening agent for cementing heavy oil thermal recovery wells[J]. Petrochemical Industry Application, 2023, 42(8): 29-32,37.
    [8]
    于永金, 张航, 夏修建, 等. 超高温固井水泥浆降失水剂的合成与性能[J]. 钻井液与完井液, 2022, 39(3): 352-358.

    YU Yongjin, ZHANG Hang, XIA Xiujian, et al. Synthesis and study of an ultra-high temperature filtrate reducer for cement slurries[J]. Drilling Fluid & Completion Fluid, 2022, 39(3): 352-358.
    [9]
    王静. 水泥自修复技术在固井中应用研究进展[J]. 石油化工应用, 2024, 43(10): 1-3, 22.

    WANG Jing. Research progress on the application of cement self-healing technology in cementing[J]. Petrochemical Industry Application, 2024, 43(10): 1-3,22.
    [10]
    汪海阁, 黄洪春, 毕文欣, 等. 深井超深井油气钻井技术进展与展望[J]. 天然气工业, 2021, 41(8): 163-177.

    WANG Haige, HUANG Hongchun, BI Wenxin, et al. Deep and ultra-deep oil/gas well drilling technologies: Progress and prospect[J]. Natural Gas Industry, 2021, 41(8): 163-177.
    [11]
    方仲旗, 谭元铭, 严俊涛, 等. 基于水泥石拉伸试验的储气库水泥浆体系优选[J]. 钻采工艺, 2023, 46(3): 128-134.

    FANG Zhongqi, TAN Yuanming, YAN Juntao, et al. Optimization of cement slurry system for gas storage based on the stretching tensile strength[J]. Drilling & Production Technology, 2023, 46(3): 128-134.
    [12]
    张戈. 油井水泥降失水材料性能评价及控滤失机理[D]. 青岛: 中国石油大学(华东), 2022.

    ZHANG Ge. Performance evaluation and working mechanism of oil well cement fluid loss control materials[D]. Qingdao: China University of Petroleum(East China), 2022.
    [13]
    徐小峰, 宋巍, 杨燕, 等. 页岩储层水平井固井水泥浆体系应用研究进展[J]. 科学技术与工程, 2023, 23(17): 7161-7173.

    XU Xiaofeng, SONG Wei, YANG Yan, et al. Review of application of cement slurry system for horizontal well in shale reservoir[J]. Science Technology and Engineering, 2023, 23(17): 7161-7173.
    [14]
    张福铭, 肖伟, 朱思佳, 等. 超高温高密度防腐防窜水泥浆[J]. 钻井液与完井液, 2024, 41(4): 506-514.

    ZHANG Fuming, XIAO Wei, ZHU Sijia, et al. An Ultra-High temperature high density corrosion inhibitive anti-channeling cement slurry[J]. Drilling Fluid & Completion Fluid, 2024, 41(4): 506-514.
    [15]
    杨川, 曹乔黎, 王志刚, 等. 变排量注替防漏固井技术在KS区块储层的应用[J]. 石油化工应用, 2024, 43(5): 28-32, 42.

    YANG Chuan, CAO Qiaoli, WANG Zhigang, et al. Application of variable displacement injection and leakage prevention cementing technology in KS block reservoir[J]. Petrochemical Industry Application, 2024, 43(5): 28-32,42.
    [16]
    侯海欧. 抗高温高密度固井水泥浆体系研究[J]. 石油化工应用, 2022, 41(7): 60-62, 71.

    HOU Haiou. Study on high temperature resistant and high density cementing slurry system[J]. Petrochemical Industry Application, 2022, 41(7): 60-62,71.
    [17]
    郝锋, 李基伟, 唐登宇, 等. 海上CCS井固井关键技术探讨[J]. 当代石油石化, 2023, 31(6): 33-38.

    HAO Feng, LI Jiwei, TANG Dengyu, et al. Discussion on key cementing technology of offshore CCS well[J]. Petroleum & Petrochemical Today, 2023, 31(6): 33-38.
    [18]
    吴华, 刘连恺, 王磊, 等. GY5-1-4H页岩油水平井提高固井质量关键技术研究与实践[J]. 钻探工程, 2023, 50(4): 135-141.

    WU Hua, LIU Liankai, WANG Lei, et al. Study and application of key technology enhancement of shale oil horizontal well cementing quality for Well GY5-1-4H[J]. Drilling Engineering, 2023, 50(4): 135-141.
    [19]
    闫睿昶, 徐明, 虞海法, 等. 巴彦河套盆地复杂储层固井技术[J]. 钻井液与完井液, 2023, 40(1): 82-88.

    YAN Ruichang, XU Ming, YU Haifa, et al. Well cementing technology for complex reservoirs in the Bayan Hetao basin[J]. Drilling Fluid & Completion Fluid, 2023, 40(1): 82-88.
    [20]
    陈晓华, 狄伟. 针对裂缝性地层的低密度高强度韧性水泥浆体系研究[J]. 钻井液与完井液, 2021, 38(1): 109-115.

    CHEN Xiaohua, DI Wei. Low-density and strength cement slurry for fractured formation[J]. Drilling Fluid & Completion Fluid, 2021, 38(1): 109-115.
    [21]
    齐奔, 马如然, 段云刚, 等. 油基钻井液用温敏型冲洗液[J]. 油田化学, 2025, 42(3): 381-387.

    QI Ben, MA Ruran, DUAN Yungang, et al. Thermosensitive flushing fluid for oil-based drilling fluid[J]. Oilfield Chemistry, 2025, 42(3): 381-387.
    [22]
    杨鸿波, 陈国军, 张国光, 等. M油田盐膏层精细动态控压固井技术[J]. 天然气勘探与开发, 2021, 44(4): 72-79.

    YANG Hongbo, CHEN Guojun, ZHANG Guoguang,et al. Precise dynamic pressure-control cementing and its application to salt-gypsum layers in M oilfield[J]. Natural Gas Exploration and Development, 2021, 44(4): 72-79.
    [23]
    张健楠, 张伟, 雷颖, 等. 储气库生产管柱检测评价融合方法提升油气井注采安全[J]. 石油钻采工艺, 2025, 47(1): 84-92.

    ZHANG Jiannan, ZHANG Wei, LEI Ying, et al. A combination method for detection and evaluation of production string in gas storage facilities to enhance the safety of injection and production in oil and gas wells[J]. Oil Drilling & Production Technology, 2025, 47(1): 84-92.
  • 加载中

Catalog

    通讯作者: 陈斌, bchen63@163.com
    • 1. 

      沈阳化工大学材料科学与工程学院 沈阳 110142

    1. 本站搜索
    2. 百度学术搜索
    3. 万方数据库搜索
    4. CNKI搜索

    Figures(14)  / Tables(11)

    Article Metrics

    Article views (21) PDF downloads(0) Cited by()
    Proportional views
    Related

    /

    DownLoad:  Full-Size Img  PowerPoint
    Return
    Return