Volume 43 Issue 2
Apr.  2026
Turn off MathJax
Article Contents
CAO Hongchang, DANG Donghong, ZHANG Ye, et al.The influence of calcium-based whisker self-healing agent on self-healing of oil well set cement cracks in CCUS wells[J]. Drilling Fluid & Completion Fluid,2026, 43(2):209-216 doi: 10.12358/j.issn.1001-5620.2026.02.009
Citation: CAO Hongchang, DANG Donghong, ZHANG Ye, et al.The influence of calcium-based whisker self-healing agent on self-healing of oil well set cement cracks in CCUS wells[J]. Drilling Fluid & Completion Fluid,2026, 43(2):209-216 doi: 10.12358/j.issn.1001-5620.2026.02.009

The Influence of Calcium-Based Whisker Self-Healing Agent on Self-Healing of Oil Well Set Cement Cracks in CCUS Wells

doi: 10.12358/j.issn.1001-5620.2026.02.009
  • Received Date: 2025-10-12
  • Rev Recd Date: 2025-11-28
  • Publish Date: 2026-04-08
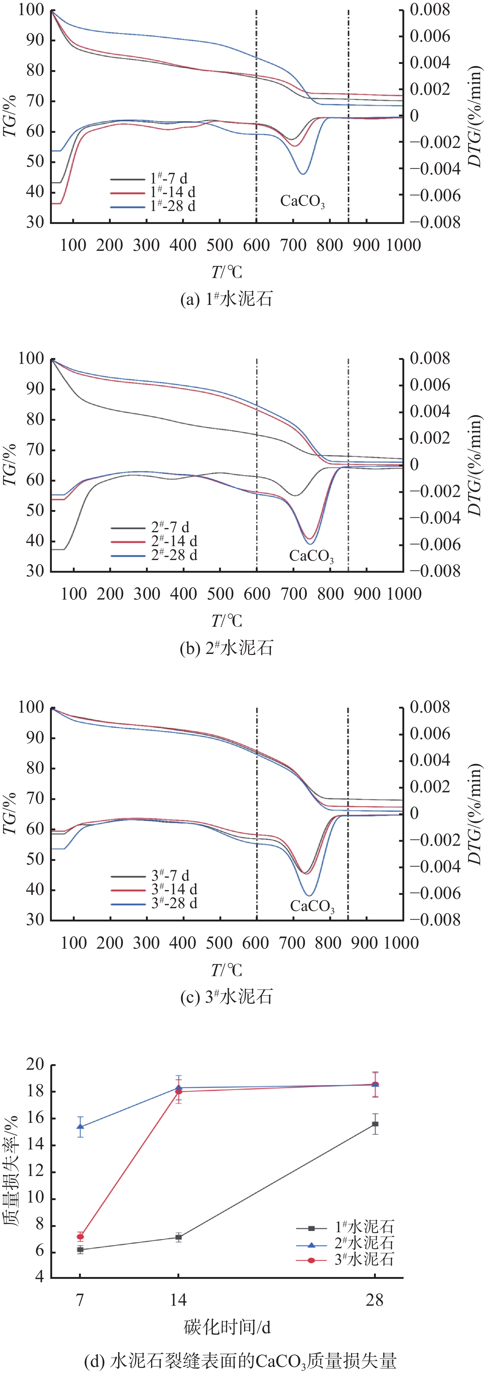
  • In wells for carbon capture, utilization and storage (CCUS), cement sheaths are easy to get chemically damaged, hence reducing their service life. A study was conducted to enhance the self-healing capacity of cement sheaths by reacting calcium-based whisker self-healing agent with CO2 to produce CaCO3. The influence of calcium-based whisker self-healing agent on the self-healing process of cement sheaths was studied using mechanical tester, X-ray diffractometer (XRD), thermogravimetric analyzer (TGA), scanning electron microscope (SEM) and industrial computed tomography (CT) etc. The results of mechanical performance tests showed that after 28 days of self-healing, the self-healing rate of the compressive strength of the set cement incorporated with the calcium-based whisker reached 83.87%, which is 90.31% higher than that of the set cement without incorporating calcium-based whisker. Phase analysis and SEM observation results show that a large number of calcite-type calcium carbonate crystals were generated around the self-healing material and deposited in the cracks of the set cement, thereby rendering the cracks in the set cement carbonized self-healing. CT test results further confirmed the self-healing effect of the calcium-based whisker self-healing agent; after 28 days of self-healing, the volume of the cracks in the set cement incorporated with the calcium-based whisker self-healing agent was reduced by 4,165.95 mm3, a self-healing rate of 72.32%. This indicates that in the CCUS well environment, the incorporation of calcium-based whisker self-healing materials into a cement slurry has a positive impact on the carbonized self-healing process of the cement sheath.

     

  • loading
  • [1]
    樊大磊, 李富兵, 王宗礼, 等. 碳达峰、碳中和目标下中国能源矿产发展现状及前景展望[J]. 中国矿业, 2021, 30(6): 1-8.

    FAN Dalei, LI Fubing, WANG Zongli, et al. Development status and prospects of China's energy minerals under the target of carbon peak and carbon neutral[J]. China Mining Magazine, 2021, 30(6): 1-8.
    [2]
    薛华. "碳中和"背景下中国油气行业CCUS业务发展策略[J]. 油气与新能源, 2021, 33(3): 67-70.

    XUE Hua. Strategic study on "carbon neutrality" targeted CCUS development in China petroleum industry[J]. Petroleum Planning & Engineering, 2021, 33(3): 67-70.
    [3]
    杨永钊, 周进生, 胡海文, 等. CCUS-EOR产业的发展现状、经济效益与未来展望[J]. 中国矿业, 2025, 34(2): 190-203. doi: 10.12075/j.issn.1004-4051.20242290

    YANG Yongzhao, ZHOU Jinsheng, HU Haiwen, et al. Development status, economic benefits and future prospects of CCUS-EOR industry[J]. China Mining Magazine, 2025, 34(2): 190-203. doi: 10.12075/j.issn.1004-4051.20242290
    [4]
    胡书勇, 郭学强, 张佳轶, 等. 双碳愿景下CCUS提高油气采收率技术[J]. 世界石油工业, 2024, 31(1): 81-91.

    HU Shuyong, GUO Xueqiang, ZHANG Jiayi, et al. CCUS improves oil and gas recovery technology under the vision of carbon neutral and carbon peak[J]. World Petroleum Industry, 2024, 31(1): 81-91
    [5]
    WANG J A, FENG L Y, TANG X, et al. The implications of fossil fuel supply constraints on climate change projections: a supply-side analysis[J]. Futures, 2017, 86: 58-72. doi: 10.1016/j.futures.2016.04.007
    [6]
    JEFFERSON D C A, GREGORY V B O, MARIA C M, et al. Increasing recovery factor in heavy oil fields using alternating steam and surfactant injection[J]. Energy and Fuels, 2023, 37(12): 8237-8249. doi: 10.1021/acs.energyfuels.3c00823
    [7]
    刘罗茜, 雷涯邻, 支树洁, 等. 中国水泥行业点源层面CCUS技术减排潜力与优化部署[J]. 北京理工大学学报(社会科学版), 2024, 26(4): 56-67. doi: 10.15918/j.jbitss1009-3370.2024.2427

    LIU Luoqian, LEI Yalin, ZHI Shujie, et al. Potential and optimization deployment of CCUS technology emission reduction at point source level in China's cement industry[J]. Journal of Beijing Institute of Technology (Social Sciences Edition), 2024, 26(4): 56-67. doi: 10.15918/j.jbitss1009-3370.2024.2427
    [8]
    叶晓东, 陈军, 陈曦, 等. “双碳”目标下的中国CCUS技术挑战及对策[J]. 油气藏评价与开发, 2024, 14(1): 1-9.

    YE Xiaodong, CHEN Jun, CHEN Xi, et al. China's CCUS technology challenges and countermeasures under "double carbon" target[J]. Petroleum Reservoir Evaluation and Development, 2024, 14(1): 1-9.
    [9]
    郭少坤, 李军, 连威, 等. CCUS地质封存井筒完整性研究进展及发展建议[J]. 石油钻探技术, 2025, 53(1): 144-154. doi: 10.11911/syztjs.2024124

    GUO Shaokun, LI Jun, LIAN Wei, et al. Research progress and development suggestions on wellbore integrity for CCUS geological storage[J]. Petroleum Drilling Techniques, 2025, 53(1): 144-154. doi: 10.11911/syztjs.2024124
    [10]
    霍宏博, 刘东东, 陶林, 等. 基于CO2提高采收率的海上CCUS完整性挑战与对策[J]. 石油钻探技术, 2023, 51(2): 74-80.

    HUO Hongbo, LIU Dongdong, TAO Lin, et al. Integrity challenges and countermeasures of the offshore CCUS based on CO2-EOR [J]. Petroleum Drilling Techniques, 2023, 51(2): 74-80
    [11]
    李阳, 王锐, 赵清民, 等. 中国碳捕集利用与封存技术应用现状及展望[J]. 石油科学通报, 2023, 8(4): 391-397. doi: 10.3969/j.issn.2096-1693.2023.04.030

    LI Yang, WANG Rui, ZHAO Qingmin, et al. Status and prospects for CO2 capture, utilization and storage technology in China[J]. Petroleum Science Bulletin, 2023, 8(4): 391-397. doi: 10.3969/j.issn.2096-1693.2023.04.030
    [12]
    PAN L, OLDENBURG C M. Mechanistic modeling of CO2 well leakage in a generic abandoned well through a bridge plug cement-casing gap[J]. International Journal of Greenhouse Gas Control, 2020, 97: 103025. doi: 10.1016/j.ijggc.2020.103025
    [13]
    周念涛, 邓宽海, 陈修平, 等. CCUS地质封存下水泥环密封完整性失效机理及控制措施[J]. 科学技术与工程, 2023, 23(36): 15448-15455. doi: 10.3969/j.issn.1671-1815.2023.36.013

    ZHOU Niantao, DENG Kuanhai, CHEN Xiuping, et al. Failure mechanism and control measures of cement sheath sealing integrity under CCUS geological storage[J]. Science Technology and Engineering, 2023, 23(36): 15448-15455. doi: 10.3969/j.issn.1671-1815.2023.36.013
    [14]
    HOU D, ZHANG Z, GENG Y N, et al. Experimental study on the channeling leakage properties of compact-size casing-cement sheath-stratum assembly in deep and ultra-deep wells[J]. Process Safety and Environmental Protection, 2023, 178: 881-892. doi: 10.1016/j.psep.2023.08.016
    [15]
    PENG Z G, YU C Y, FENG Q, et al. Synthesis, characterisation and application of self-healing material in oil well cement for healing microcracks[J]. Advances in Cement Research, 2019, 32(11): 519-526.
    [16]
    张春梅, 程小伟, 杨永胜, 等. 固井水泥环微裂纹自修复微胶囊的制备与性能研究[J]. 硅酸盐通报, 2018, 37(6): 2035-2041. doi: 10.16552/j.cnki.issn1001-1625.2018.06.040

    ZHANG Chunmei, CHENG Xiaowei, YANG Yongsheng, et al. Synthesis and performance study of self-repairing microcapsules for micro-cracks of oil-well cement matrix[J]. Bulletin of the Chinese Ceramic Society, 2018, 37(6): 2035-2041. doi: 10.16552/j.cnki.issn1001-1625.2018.06.040
    [17]
    饶志华, 邓成辉, 马倩芸, 等. CCUS井工况下不同引晶材料对水泥石裂缝自愈合过程的影响[J]. 钻井液与完井液, 2023, 40(4): 495-501. doi: 10.12358/j.issn.1001-5620.2023.04.012

    RAO Zhihua, DENG Chenghui, MA Qianyun, et al. Comparative study on effects of different crystallographic materials on self-healing of fractures in set cement under CCUS well work conditions[J]. Drilling Fluid & Completion Fluid, 2023, 40(4): 495-501. doi: 10.12358/j.issn.1001-5620.2023.04.012
    [18]
    龚鹏, 程小伟, 武治强, 等. 碳酸钙晶须对CO2诱导固井水泥石裂缝自愈合的影响研究[J]. 材料导报, 2023, 37(7): 67-73.

    GONG Peng, CHENG Xiaowei, WU Zhiqiang, et al. Research on the effect of calcium carbonate whiskers on the self-healing of cement stone cracks induced by CO2[J]. Materials Reports, 2023, 37(7): 67-73.
    [19]
    张连进, 秦楠, 赵梓寒, 等. 四川盆地碳酸盐岩气藏 CCUS-EGR 影响因素分析——以卧龙河茅口组气藏为例[J]. 钻采工艺, 2025, 48(5): 85-92.

    ZHANG Lianjing, QIN Nan, ZHAO Zihan, et al. Analysis of Influencing Factors for CCUS-EGR in Carbonate Gas Reservoirs of the Sichuan Basin: aCase Study of the Maokou Formation Gas Reservoir in Wolonghe[J]. Drilling and Production Technology, 2025, 48(5): 85-92
    [20]
    何敏会, 姚明, 闫宇博, 等. ZnFe-LDHs型固井水泥H2S防腐剂制备及性能评价[J]. 钻井液与完井液, 2024, 41(3): 364-373.

    HE Minhui, YAO Ming, YAN Yubo, et al. Preparation and evaluation of an H2S corrosion inhibitor for ZnFe-LDHs oil well cement[J]. Drilling Fluid & Completion Fluid, 2024, 41(3): 364-373.
    [21]
    李雪岗, 张健, 杨建永. 页岩油二氧化碳注气提采环境下固井水泥环完整性保障技术研究[J]. 钻采工艺, 2024, 47(6): 93-101.

    LI Xuegang, ZHANG Jian, YANG Jianyong. Research on the integrity guarantee technology of cement ring under the environment of shale oil carbon dioxide injection for EOR[J]. Drilling & Production Technology, 2024, 47(6): 93-101.
    [22]
    GONG P, FU H C, HE D, et al. Novel material to enhance the integrity of CCUS cement sheath: exploration and application of calcium aluminate cement[J]. Gas Science and Engineering, 2024, 124: 205247. doi: 10.1016/j.jgsce.2024.205247
    [23]
    ZHANG S, XIAO R, Yang, et al. CO2 capture and desulfurization in chemical looping combustion of coal with a CaSO4 oxygen carrier[J]. Chemical Engineering and Technology, 2013, 36(9): 1469-1478. doi: 10.1002/ceat.201200653
  • 加载中

Catalog

    通讯作者: 陈斌, bchen63@163.com
    • 1. 

      沈阳化工大学材料科学与工程学院 沈阳 110142

    1. 本站搜索
    2. 百度学术搜索
    3. 万方数据库搜索
    4. CNKI搜索

    Figures(8)

    Article Metrics

    Article views (31) PDF downloads(2) Cited by()
    Proportional views
    Related

    /

    DownLoad:  Full-Size Img  PowerPoint
    Return
    Return