Volume 43 Issue 2
Apr.  2026
Turn off MathJax
Article Contents
CUI Kaixiao, LIU Jinhua, LI Daqi.Research and application of elastic expanding bridging efficiency-enhancing material[J]. Drilling Fluid & Completion Fluid,2026, 43(2):172-178 doi: 10.12358/j.issn.1001-5620.2026.02.004
Citation: CUI Kaixiao, LIU Jinhua, LI Daqi.Research and application of elastic expanding bridging efficiency-enhancing material[J]. Drilling Fluid & Completion Fluid,2026, 43(2):172-178 doi: 10.12358/j.issn.1001-5620.2026.02.004

Research and Application of Elastic Expanding Bridging Efficiency-Enhancing Material

doi: 10.12358/j.issn.1001-5620.2026.02.004
  • Received Date: 2025-09-27
  • Rev Recd Date: 2025-11-12
  • Publish Date: 2026-04-08
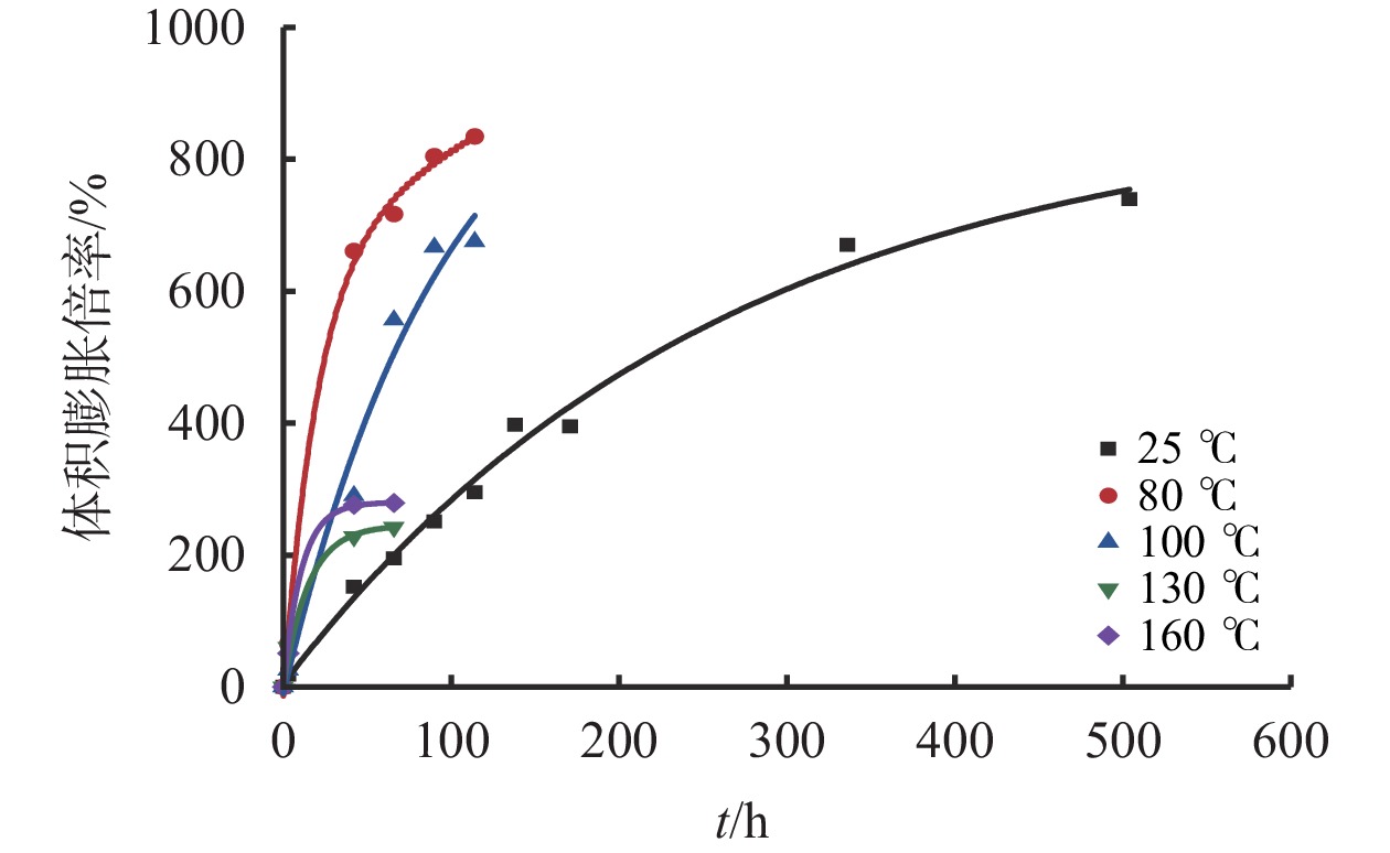
  • Current bridging lost circulation materials (LCMs) exhibit poor lost circulation control performance and limited pressure bearing capacity when used in controlling mud losses into complex fractured formations such as those with multiscale fractures and stress-sensitive fractures, and mud losses controlled with these LCMs are easy to re-occur. Based on the idea of enhancing the elasticity and toughness as well as the volumetric expandability of the LCMs, an elastic expanding bridging efficiency-enhancing material was developed. The optimal synthesis formula and conditions were obtained through component optimization experiments. Laboratory evaluations were conducted on the material mechanics, expansion performance and lost circulation control capacity of the elastic expanding bridging efficiency-enhancing material, followed by field application. The research findings show that the elastic expanding bridging efficiency-enhancing material exhibits high compressive strength and good elasticity-toughness before and after expansion. After aging at 160 ℃, the volume of the elastic expanding bridging efficiency-enhancing material can expand to 116.67% of its original volume. Through elastic-tough deformation and continuous three-dimensional expansion, the elastic expanding bridging efficiency-enhancing material can enhance the compactness of the plugging layers and improve their elasticity-toughness, thereby strengthening the pressure-bearing and anti-breathing capacity of the seal. Preliminary field applications of this elastic expanding bridging efficiency-enhancing material in wells with lost circulation in the southwest drilling block have achieved favorable results in mud loss control, demonstrating broad promotion prospects.

     

  • loading
  • [1]
    孙金声, 雷少飞, 白英睿, 等. 智能材料在钻井液堵漏领域研究进展和应用展望[J]. 中国石油大学学报(自然科学版), 2020, 44(4): 100-110. doi: 10.3969/j.issn.1673-5005.2020.04.012

    SUN Jinsheng, LEI Shaofei, BAI Yingrui, et al. Research progress and application prospects of smart materials in lost circulation control of drilling fluids[J]. Journal of China University of Petroleum (Edition of Natural Science), 2020, 44(4): 100-110. doi: 10.3969/j.issn.1673-5005.2020.04.012
    [2]
    LAVROV A. Lost circulation[M]. Amsterdam: Gulf Professional Publishing, 2016.
    [3]
    刘金华, 李大奇, 李凡, 等. 活跃水缝洞漏失堵漏模拟评价装置及实验研究[J]. 钻井液与完井液, 2023, 40(2): 169-175.

    LIU Jinhua, LI Daqi, LI Fan. et al. Simulation device and experimental study on leakage and plugging of active water fracture hole[J]. Drilling Fluid & Completion Fluid, 2023, 40(2): 169-175.
    [4]
    王中华. 复杂漏失地层堵漏技术现状及发展方向[J]. 中外能源, 2014, 19(1): 39-48.

    WANG Zhonghua. The Status and development direction of plugging technology for complex formation lost circulation[J]. Sino-global Energy, 2014, 19(1): 39-48.
    [5]
    狄丽丽, 张智, 段明, 等. 超强吸水树脂堵漏性能研究[J]. 石油钻探技术, 2007, 35(3): 33-36.

    DI Lili, ZHANG Zhi, DUAN Ming, et al. Research of plugging ability of super-absorbent resin[J]. Petroleum Drilling Techniques, 2007, 35(3): 33-36.
    [6]
    康力, 鲜明, 杨国兴, 等. 废旧汽车轮胎橡胶颗粒堵漏材料的研究与应用[J]. 钻井液与完井液, 2016, 33(4): 69-73.

    KANG Li, XIAN Ming, YANG Guoxing, et al. Study and application of rubber powder LCM made from waste motor tires[J]. Drilling Fluid & Completion Fluid, 2016, 33(4): 69-73.
    [7]
    MANSOUR A K, TALEGHANI A D. Smart loss circulation materials for drilling highly fractured zones[C]//Paper presented at the SPE/IADC Middle East Drilling Technology Conference and Exhibition. Abu Dhabi, UAE, 2018: SPE-189413-MS.
    [8]
    CUI K X, JIANG G C, XIE C L, et al. A novel temperature-sensitive expandable lost circulation material based on shape memory epoxy foams to prevent losses in geothermal drilling[J]. Geothermics, 2021, 95: 102145. doi: 10.1016/j.geothermics.2021.102145
    [9]
    范宇, 唐宜家, 夏连彬, 等. 环保性纳米硅酸镁锂/纤维素/明胶复合凝胶的制备及堵漏性能[J]. 钻井液与完井液, 2025, 42(2): 209-216.

    FAN Yu, TANG Yijia, XIA Lianbin, et al. Preparation of environmentally friendly nano lithium magnesium silicate-cellulose-gelatin composite gel and study on its ability to control mud losses[J]. Drilling Fluid & Completion Fluid, 2025, 42(2): 209-216.
    [10]
    李科, 贾江鸿, 于雷, 等. 页岩油钻井漏失机理及防漏堵漏技术[J]. 钻井液与完井液, 2022, 39(4): 446-450.

    LI Ke, JIA Jianghong, YU Lei, et al. Mechanisms of lost circulation and technologies for mud loss prevention and control in shale oil drilling[J]. Drilling Fluid & Completion Fluid, 2022, 39(4): 446-450.
    [11]
    张杜杰, 金军斌, 李大奇, 等. 超致密储层流体敏感性实验方法[J]. 钻井液与完井液, 2024, 41(2): 172-177.

    ZHANG Dujie, JIN Junbin, LI Daqi, et al. The experimental methods to evaluate the fluids sensitivity damage of ultra-deep and ultra-tight gas reservoirs[J]. Drilling Fluid & Completion Fluid, 2024, 41(2): 172-177.
    [12]
    暴丹, 邱正松, 叶链, 等. 热致形状记忆“智能”型堵漏剂的制备与特性实验[J]. 石油学报, 2020, 41(1): 106-115.

    BAO Dan, QIU Zhengsong, YE Lian, et al. Preparation and characteristic experiments of intelligent lost circulation materials based on thermally shape memory polymer[J]. Acta Petrolei Sinica, 2020, 41(1): 106-115.
    [13]
    王照辉, 崔凯潇, 蒋官澄, 等. 基于形状记忆环氧树脂聚合物的温敏可膨胀型堵漏剂研制及性能评价[J]. 钻井液与完井液, 2020, 37(4): 412-420.

    WANG Zhaohui, CUI Kaixiao, JIANG Guancheng, et al. Development and evaluation of a temperature-sensitive expandable lost circulation material made from a shape memory epoxy polymer[J]. Drilling Fluid & Completion Fluid, 2020, 37(4): 412-420.
    [14]
    CUI K X, LI D Q, LIU J H, et al. How to use expansion rubber to form an adaptive sealing layer to solve severe Loss--Materials, effects and theory[C]//Paper presented at the International Petroleum Technology Conference. Dhahran, Saudi Arabia, 2024: IPTC-24431-MS.
    [15]
    许成元, 康毅力, 李大奇. 提高地层承压能力研究新进展[J]. 钻井液与完井液, 2011, 28(5): 81-85, 88.

    XU Chengyuan, KANG Yili, LI Daqi. New progress in research on improving the pressure-bearing capacity of strata[J]. Drilling Fluid & Completion Fluid, 2011, 28(5): 81-85,88.
    [16]
    谢佳君, 刘应民, 李雪松, 等. 多功能固结堵漏技术在宜202井区碳酸盐岩地层的应用[J]. 钻采工艺, 2024, 47(1): 154-161.

    XIE Jiajun, LIU Yingmin, LI Xuesong, et al. Application of multifunctional consolidation and plugging technology in carbonate rock formation in well area Yi 202[J]. Drilling & Production Technology, 2024, 47(1): 154-161.
  • 加载中

Catalog

    通讯作者: 陈斌, bchen63@163.com
    • 1. 

      沈阳化工大学材料科学与工程学院 沈阳 110142

    1. 本站搜索
    2. 百度学术搜索
    3. 万方数据库搜索
    4. CNKI搜索

    Figures(10)  / Tables(2)

    Article Metrics

    Article views (27) PDF downloads(4) Cited by()
    Proportional views
    Related

    /

    DownLoad:  Full-Size Img  PowerPoint
    Return
    Return