留言板

尊敬的读者、作者、审稿人, 关于本刊的投稿、审稿、编辑和出版的任何问题, 您可以本页添加留言。我们将尽快给您答复。谢谢您的支持!

姓名
邮箱
手机号码
标题
留言内容
验证码

钙基晶须自修复剂对CCUS井固井水泥石裂缝自修复的影响

曹洪昌 党冬红 张晔 任强 刘景丽 刘岩 彭松 马骏

曹洪昌,党冬红,张晔,等. 钙基晶须自修复剂对CCUS井固井水泥石裂缝自修复的影响[J]. 钻井液与完井液,2026,43(2):209-216 doi: 10.12358/j.issn.1001-5620.2026.02.009
引用本文: 曹洪昌,党冬红,张晔,等. 钙基晶须自修复剂对CCUS井固井水泥石裂缝自修复的影响[J]. 钻井液与完井液,2026,43(2):209-216 doi: 10.12358/j.issn.1001-5620.2026.02.009
CAO Hongchang, DANG Donghong, ZHANG Ye, et al.The influence of calcium-based whisker self-healing agent on self-healing of oil well set cement cracks in CCUS wells[J]. Drilling Fluid & Completion Fluid,2026, 43(2):209-216 doi: 10.12358/j.issn.1001-5620.2026.02.009
Citation: CAO Hongchang, DANG Donghong, ZHANG Ye, et al.The influence of calcium-based whisker self-healing agent on self-healing of oil well set cement cracks in CCUS wells[J]. Drilling Fluid & Completion Fluid,2026, 43(2):209-216 doi: 10.12358/j.issn.1001-5620.2026.02.009

钙基晶须自修复剂对CCUS井固井水泥石裂缝自修复的影响

doi: 10.12358/j.issn.1001-5620.2026.02.009
基金项目: 中国石油集团渤海钻探公司项目“CCUS/CCS遇CO2自修复水泥浆技术研究”(2024ZD06F-04)。
详细信息
    作者简介:

    曹洪昌,高级工程师,硕士毕业于中国石油大学(华东),现在主要从事固井水泥浆及外加剂研究工作。电话(0317)2724617;E-mail:chc4@163.com

  • 中图分类号: TE256

The Influence of Calcium-Based Whisker Self-Healing Agent on Self-Healing of Oil Well Set Cement Cracks in CCUS Wells

  • 摘要: 固井水泥环在碳捕集、利用和封存(CCUS)井下易发生化学损伤,降低其服役寿命,因此进行了利用钙基晶须自修复剂与CO2反应诱导生成CaCO3,来提升固井水泥环自修复能力的研究。通过力学试验仪、X射线衍射仪、热重分析仪、扫描电子显微镜和工业用计算机断层成像等测试仪器,研究钙基晶须自修复剂对固井水泥环自修复过程的影响。力学性能测试结果显示,自修复28 d后,掺入钙基晶须自修复剂的水泥石抗压强度自修复率为83.87%,比未掺的水泥石高90.31%。物相分析和扫描电镜测试结果表明,在自修复材料周围有大量方解石型碳酸钙晶体生成,并沉积在水泥石的裂缝中,使得水泥石的裂缝发生碳化自修复。利用CT测试结果进一步证实了钙基晶须自修复剂的自修复效果,掺入钙基晶须自修复剂的水泥环自修复28 d后裂缝体积减小4165.95 mm3,自修复率达到72.32%,这表明CCUS井环境下,在固井水泥浆中掺入钙基晶须自修复材料对水泥环的碳化自修复过程有积极影响。

     

  • 图  1  水泥环完整性测试装置示意图

    图  2  水泥石在碳化自修复前后的抗压强度

    图  3  不同配方水泥石碳化自修复后的裂缝显微镜观察图

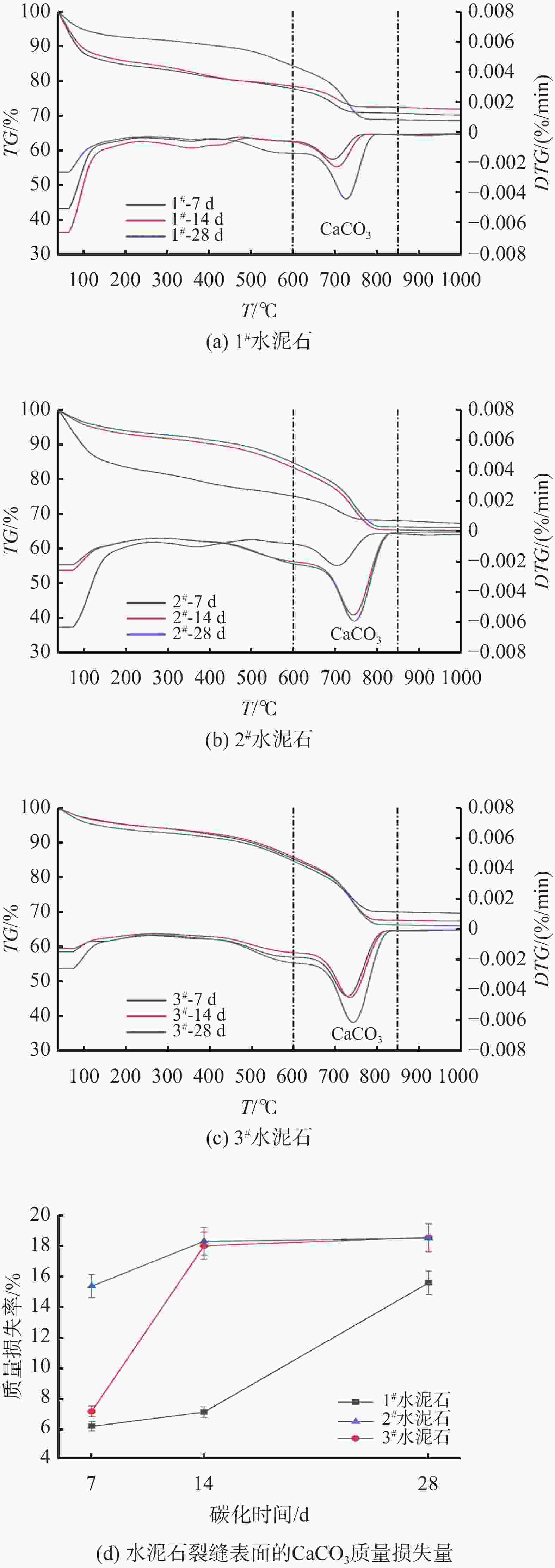
    图  4  3种配方水泥石自修复不同天数后裂缝表面的TG变化

    图  5  钙基晶须自修复剂(a)及养护28 d后2#水泥石裂缝表面放大不同倍数的SEM照片

    图  6  水泥环力学完整性评价曲线

    注:1 sccm=1 mL/min。

    图  7  2#水泥环三维结构图

    图  8  钙基晶须自修复剂的自修复机制示意图

  • [1] 樊大磊, 李富兵, 王宗礼, 等. 碳达峰、碳中和目标下中国能源矿产发展现状及前景展望[J]. 中国矿业, 2021, 30(6): 1-8.

    FAN Dalei, LI Fubing, WANG Zongli, et al. Development status and prospects of China's energy minerals under the target of carbon peak and carbon neutral[J]. China Mining Magazine, 2021, 30(6): 1-8.
    [2] 薛华. "碳中和"背景下中国油气行业CCUS业务发展策略[J]. 油气与新能源, 2021, 33(3): 67-70.

    XUE Hua. Strategic study on "carbon neutrality" targeted CCUS development in China petroleum industry[J]. Petroleum Planning & Engineering, 2021, 33(3): 67-70.
    [3] 杨永钊, 周进生, 胡海文, 等. CCUS-EOR产业的发展现状、经济效益与未来展望[J]. 中国矿业, 2025, 34(2): 190-203. doi: 10.12075/j.issn.1004-4051.20242290

    YANG Yongzhao, ZHOU Jinsheng, HU Haiwen, et al. Development status, economic benefits and future prospects of CCUS-EOR industry[J]. China Mining Magazine, 2025, 34(2): 190-203. doi: 10.12075/j.issn.1004-4051.20242290
    [4] 胡书勇, 郭学强, 张佳轶, 等. 双碳愿景下CCUS提高油气采收率技术[J]. 世界石油工业, 2024, 31(1): 81-91.

    HU Shuyong, GUO Xueqiang, ZHANG Jiayi, et al. CCUS improves oil and gas recovery technology under the vision of carbon neutral and carbon peak[J]. World Petroleum Industry, 2024, 31(1): 81-91
    [5] WANG J A, FENG L Y, TANG X, et al. The implications of fossil fuel supply constraints on climate change projections: a supply-side analysis[J]. Futures, 2017, 86: 58-72. doi: 10.1016/j.futures.2016.04.007
    [6] JEFFERSON D C A, GREGORY V B O, MARIA C M, et al. Increasing recovery factor in heavy oil fields using alternating steam and surfactant injection[J]. Energy and Fuels, 2023, 37(12): 8237-8249. doi: 10.1021/acs.energyfuels.3c00823
    [7] 刘罗茜, 雷涯邻, 支树洁, 等. 中国水泥行业点源层面CCUS技术减排潜力与优化部署[J]. 北京理工大学学报(社会科学版), 2024, 26(4): 56-67. doi: 10.15918/j.jbitss1009-3370.2024.2427

    LIU Luoqian, LEI Yalin, ZHI Shujie, et al. Potential and optimization deployment of CCUS technology emission reduction at point source level in China's cement industry[J]. Journal of Beijing Institute of Technology (Social Sciences Edition), 2024, 26(4): 56-67. doi: 10.15918/j.jbitss1009-3370.2024.2427
    [8] 叶晓东, 陈军, 陈曦, 等. “双碳”目标下的中国CCUS技术挑战及对策[J]. 油气藏评价与开发, 2024, 14(1): 1-9.

    YE Xiaodong, CHEN Jun, CHEN Xi, et al. China's CCUS technology challenges and countermeasures under "double carbon" target[J]. Petroleum Reservoir Evaluation and Development, 2024, 14(1): 1-9.
    [9] 郭少坤, 李军, 连威, 等. CCUS地质封存井筒完整性研究进展及发展建议[J]. 石油钻探技术, 2025, 53(1): 144-154. doi: 10.11911/syztjs.2024124

    GUO Shaokun, LI Jun, LIAN Wei, et al. Research progress and development suggestions on wellbore integrity for CCUS geological storage[J]. Petroleum Drilling Techniques, 2025, 53(1): 144-154. doi: 10.11911/syztjs.2024124
    [10] 霍宏博, 刘东东, 陶林, 等. 基于CO2提高采收率的海上CCUS完整性挑战与对策[J]. 石油钻探技术, 2023, 51(2): 74-80.

    HUO Hongbo, LIU Dongdong, TAO Lin, et al. Integrity challenges and countermeasures of the offshore CCUS based on CO2-EOR [J]. Petroleum Drilling Techniques, 2023, 51(2): 74-80
    [11] 李阳, 王锐, 赵清民, 等. 中国碳捕集利用与封存技术应用现状及展望[J]. 石油科学通报, 2023, 8(4): 391-397. doi: 10.3969/j.issn.2096-1693.2023.04.030

    LI Yang, WANG Rui, ZHAO Qingmin, et al. Status and prospects for CO2 capture, utilization and storage technology in China[J]. Petroleum Science Bulletin, 2023, 8(4): 391-397. doi: 10.3969/j.issn.2096-1693.2023.04.030
    [12] PAN L, OLDENBURG C M. Mechanistic modeling of CO2 well leakage in a generic abandoned well through a bridge plug cement-casing gap[J]. International Journal of Greenhouse Gas Control, 2020, 97: 103025. doi: 10.1016/j.ijggc.2020.103025
    [13] 周念涛, 邓宽海, 陈修平, 等. CCUS地质封存下水泥环密封完整性失效机理及控制措施[J]. 科学技术与工程, 2023, 23(36): 15448-15455. doi: 10.3969/j.issn.1671-1815.2023.36.013

    ZHOU Niantao, DENG Kuanhai, CHEN Xiuping, et al. Failure mechanism and control measures of cement sheath sealing integrity under CCUS geological storage[J]. Science Technology and Engineering, 2023, 23(36): 15448-15455. doi: 10.3969/j.issn.1671-1815.2023.36.013
    [14] HOU D, ZHANG Z, GENG Y N, et al. Experimental study on the channeling leakage properties of compact-size casing-cement sheath-stratum assembly in deep and ultra-deep wells[J]. Process Safety and Environmental Protection, 2023, 178: 881-892. doi: 10.1016/j.psep.2023.08.016
    [15] PENG Z G, YU C Y, FENG Q, et al. Synthesis, characterisation and application of self-healing material in oil well cement for healing microcracks[J]. Advances in Cement Research, 2019, 32(11): 519-526.
    [16] 张春梅, 程小伟, 杨永胜, 等. 固井水泥环微裂纹自修复微胶囊的制备与性能研究[J]. 硅酸盐通报, 2018, 37(6): 2035-2041. doi: 10.16552/j.cnki.issn1001-1625.2018.06.040

    ZHANG Chunmei, CHENG Xiaowei, YANG Yongsheng, et al. Synthesis and performance study of self-repairing microcapsules for micro-cracks of oil-well cement matrix[J]. Bulletin of the Chinese Ceramic Society, 2018, 37(6): 2035-2041. doi: 10.16552/j.cnki.issn1001-1625.2018.06.040
    [17] 饶志华, 邓成辉, 马倩芸, 等. CCUS井工况下不同引晶材料对水泥石裂缝自愈合过程的影响[J]. 钻井液与完井液, 2023, 40(4): 495-501. doi: 10.12358/j.issn.1001-5620.2023.04.012

    RAO Zhihua, DENG Chenghui, MA Qianyun, et al. Comparative study on effects of different crystallographic materials on self-healing of fractures in set cement under CCUS well work conditions[J]. Drilling Fluid & Completion Fluid, 2023, 40(4): 495-501. doi: 10.12358/j.issn.1001-5620.2023.04.012
    [18] 龚鹏, 程小伟, 武治强, 等. 碳酸钙晶须对CO2诱导固井水泥石裂缝自愈合的影响研究[J]. 材料导报, 2023, 37(7): 67-73.

    GONG Peng, CHENG Xiaowei, WU Zhiqiang, et al. Research on the effect of calcium carbonate whiskers on the self-healing of cement stone cracks induced by CO2[J]. Materials Reports, 2023, 37(7): 67-73.
    [19] 张连进, 秦楠, 赵梓寒, 等. 四川盆地碳酸盐岩气藏 CCUS-EGR 影响因素分析——以卧龙河茅口组气藏为例[J]. 钻采工艺, 2025, 48(5): 85-92.

    ZHANG Lianjing, QIN Nan, ZHAO Zihan, et al. Analysis of Influencing Factors for CCUS-EGR in Carbonate Gas Reservoirs of the Sichuan Basin: aCase Study of the Maokou Formation Gas Reservoir in Wolonghe[J]. Drilling and Production Technology, 2025, 48(5): 85-92
    [20] 何敏会, 姚明, 闫宇博, 等. ZnFe-LDHs型固井水泥H2S防腐剂制备及性能评价[J]. 钻井液与完井液, 2024, 41(3): 364-373.

    HE Minhui, YAO Ming, YAN Yubo, et al. Preparation and evaluation of an H2S corrosion inhibitor for ZnFe-LDHs oil well cement[J]. Drilling Fluid & Completion Fluid, 2024, 41(3): 364-373.
    [21] 李雪岗, 张健, 杨建永. 页岩油二氧化碳注气提采环境下固井水泥环完整性保障技术研究[J]. 钻采工艺, 2024, 47(6): 93-101.

    LI Xuegang, ZHANG Jian, YANG Jianyong. Research on the integrity guarantee technology of cement ring under the environment of shale oil carbon dioxide injection for EOR[J]. Drilling & Production Technology, 2024, 47(6): 93-101.
    [22] GONG P, FU H C, HE D, et al. Novel material to enhance the integrity of CCUS cement sheath: exploration and application of calcium aluminate cement[J]. Gas Science and Engineering, 2024, 124: 205247. doi: 10.1016/j.jgsce.2024.205247
    [23] ZHANG S, XIAO R, Yang, et al. CO2 capture and desulfurization in chemical looping combustion of coal with a CaSO4 oxygen carrier[J]. Chemical Engineering and Technology, 2013, 36(9): 1469-1478. doi: 10.1002/ceat.201200653
  • 加载中
图(8)
计量
  • 文章访问数:  432
  • HTML全文浏览量:  233
  • PDF下载量:  73
  • 被引次数: 0
出版历程
  • 收稿日期:  2025-10-12
  • 修回日期:  2025-11-28
  • 刊出日期:  2026-04-08

目录

    /

    返回文章
    返回

    尊敬的作者、读者:

    您好!

    为更好地服务于广大作者和读者,提升期刊编辑部的办公效率和服务质量,本刊编辑部办公地点及联系电话已进行变更。

    新办公地址:天津经济技术开发区第二大街83号中国石油天津大厦A517房间

    新联系电话:022-65278734

                         022-25275527

    我们衷心希望广大作者和读者能够继续支持我们的工作,共同推动期刊的发展和进步。

    再次感谢您对期刊的关注和支持!