留言板

尊敬的读者、作者、审稿人, 关于本刊的投稿、审稿、编辑和出版的任何问题, 您可以本页添加留言。我们将尽快给您答复。谢谢您的支持!

姓名
邮箱
手机号码
标题
留言内容
验证码

弹性膨胀型桥堵增效材料的研究及其应用

崔凯潇 刘金华 李大奇

崔凯潇,刘金华,李大奇. 弹性膨胀型桥堵增效材料的研究及其应用[J]. 钻井液与完井液,2026,43(2):172-178 doi: 10.12358/j.issn.1001-5620.2026.02.004
引用本文: 崔凯潇,刘金华,李大奇. 弹性膨胀型桥堵增效材料的研究及其应用[J]. 钻井液与完井液,2026,43(2):172-178 doi: 10.12358/j.issn.1001-5620.2026.02.004
CUI Kaixiao, LIU Jinhua, LI Daqi.Research and application of elastic expanding bridging efficiency-enhancing material[J]. Drilling Fluid & Completion Fluid,2026, 43(2):172-178 doi: 10.12358/j.issn.1001-5620.2026.02.004
Citation: CUI Kaixiao, LIU Jinhua, LI Daqi.Research and application of elastic expanding bridging efficiency-enhancing material[J]. Drilling Fluid & Completion Fluid,2026, 43(2):172-178 doi: 10.12358/j.issn.1001-5620.2026.02.004

弹性膨胀型桥堵增效材料的研究及其应用

doi: 10.12358/j.issn.1001-5620.2026.02.004
基金项目: 国家自然科学基金企业创新发展联合基金集成项目“三大盆地深层—超深层海相油气高效勘探开发基础研究”(U24B6001)。
详细信息
    作者简介:

    崔凯潇,副研究员,博士,1995年生,毕业于中国石油大学(北京)油气井化学与工程专业,现从事井筒工作液防漏堵漏技术研究与应用工作。E-mail:cuikx179.sripe@sinopec.com

  • 中图分类号: TE282

Research and Application of Elastic Expanding Bridging Efficiency-Enhancing Material

  • 摘要: 现用桥接堵漏材料对多尺度裂缝和应力敏感裂缝等复杂裂缝地层堵漏效果差,承压有限,易复漏。从提高材料弹韧性和体积膨胀性角度出发,研制出了弹性膨胀型桥堵增效材料,通过组分优化实验得到了材料最优合成配方及条件,室内评价了材料力学性能、膨胀性能和堵漏能力,并开展了现场应用。研究发现,弹性膨胀堵漏材料膨胀前后抗压强度高、弹韧性足,160 ℃老化后体积膨胀倍率可达116.67%。弹性膨胀材料可通过自身弹韧变形和持续三维膨胀提高封堵层致密性,改善封堵层弹韧性,从而增强封堵层承压和抗返吐能力。该材料在西南工区漏失井进行了初步现场应用,堵漏效果良好,具有较好推广前景。

     

  • 图  1  弹性膨胀材料微观形貌

    图  2  弹性膨胀材料热失重曲线

    图  3  弹性膨胀材料膨胀前后应力-应变测试曲线

    图  4  80 ℃下弹性膨胀材料膨胀应力随时间变化曲线

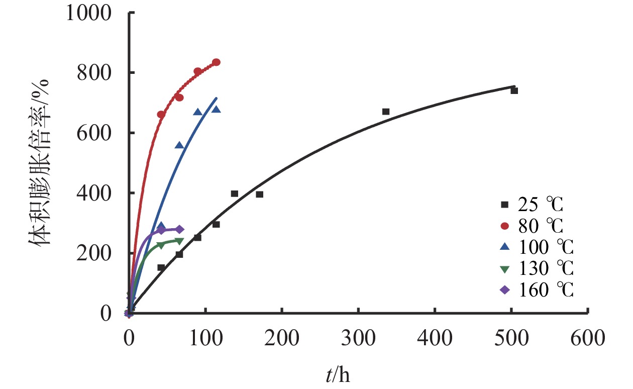
    图  5  不同温度下弹性膨胀材料体积   膨胀倍率随时间变化关系曲线

    图  6  弹性膨胀材料高温(160 ℃)静置老化前后颗粒状态

    图  7  封堵层致密性改善评价实验后的封堵层状态

    图  8  弹性膨胀堵漏材料加入前后的封堵层状态

    图  9  弹性膨胀堵漏材料动态裂缝封堵实验

    图  10  弹性膨胀堵漏材料的桥堵增效机理示意图

    表  1  不同弹性膨胀材料配方组成及产物状态

    弹性组分/
    膨胀组分/
    相容
    剂/%
    交联
    剂/%
    交联
    条件
    产物
    状态
    100 10 10 0 相容很差
    100 10 30 0 相容一般
    100 10 50 0 相容较好
    100 10 70 0 相容很好
    100 5 50 0 相容很好,较软
    100 20 50 0 相容很好,较软
    100 30 50 0 相容很好,较软
    100 60 50 0 相容很好,较软
    100 80 50 0 相容很好,较软
    100 60 50 0.1 120 ℃×1.0 MPa 产物较软(25HA)
    100 60 50 0.5 120 ℃×1.0 MPa 产物较软(28HA)
    100 60 50 1.0 120 ℃×1.0 MPa 产物较硬(33HA)
    100 60 50 2.0 120 ℃×1.0 MPa 产物很硬(45HA)
    100 60 50 5.0 120 ℃×1.0 MPa 产物很硬(50HA)
    100 60 50 2.0 50 ℃×1.0 MPa 产物较软(25HA)
    100 60 50 2.0 70 ℃×1.0 MPa 产物较软(26HA)
    100 60 50 2.0 100 ℃×1.0 MPa 产物较软(29HA)
    100 60 50 2.0 150 ℃×1.0 MPa 产物很硬(46HA)
    100 60 50 2.0 120 ℃×0.5 MPa 产物较软(40HA)
    100 60 50 2.0 120 ℃×2.0 MPa 产物很硬(46HA)
    100 60 50 2.0 120 ℃×5.0 MPa 产物很硬(48HA)
     注:相容剂以膨胀组分计,交联剂以弹性组分计。
    下载: 导出CSV

    表  2  弹性膨胀堵漏材料对2 mm楔形裂缝堵漏效果

    弹性膨胀
    堵漏材料/%
    喷射量/
    mL
    承压能力/
    MPa
    漏失量/
    mL
    抗返吐
    能力/MPa
    0 45 3.9 750 0.3
    0.5 22 5.0 130 1.4
     注:基浆配方为:4%膨润土浆+0.5%KPAM+0.2%XC+5%刚性碳酸钙(1~3 mm)+6%刚性碳酸钙(0.5~1 mm)+3%海泡石纤维(1~4 mm);弹性膨胀堵漏材料为0.9~2 mm;抗返吐能力在160 ℃、16 h测定。
    下载: 导出CSV
  • [1] 孙金声, 雷少飞, 白英睿, 等. 智能材料在钻井液堵漏领域研究进展和应用展望[J]. 中国石油大学学报(自然科学版), 2020, 44(4): 100-110. doi: 10.3969/j.issn.1673-5005.2020.04.012

    SUN Jinsheng, LEI Shaofei, BAI Yingrui, et al. Research progress and application prospects of smart materials in lost circulation control of drilling fluids[J]. Journal of China University of Petroleum (Edition of Natural Science), 2020, 44(4): 100-110. doi: 10.3969/j.issn.1673-5005.2020.04.012
    [2] LAVROV A. Lost circulation[M]. Amsterdam: Gulf Professional Publishing, 2016.
    [3] 刘金华, 李大奇, 李凡, 等. 活跃水缝洞漏失堵漏模拟评价装置及实验研究[J]. 钻井液与完井液, 2023, 40(2): 169-175.

    LIU Jinhua, LI Daqi, LI Fan. et al. Simulation device and experimental study on leakage and plugging of active water fracture hole[J]. Drilling Fluid & Completion Fluid, 2023, 40(2): 169-175.
    [4] 王中华. 复杂漏失地层堵漏技术现状及发展方向[J]. 中外能源, 2014, 19(1): 39-48.

    WANG Zhonghua. The Status and development direction of plugging technology for complex formation lost circulation[J]. Sino-global Energy, 2014, 19(1): 39-48.
    [5] 狄丽丽, 张智, 段明, 等. 超强吸水树脂堵漏性能研究[J]. 石油钻探技术, 2007, 35(3): 33-36.

    DI Lili, ZHANG Zhi, DUAN Ming, et al. Research of plugging ability of super-absorbent resin[J]. Petroleum Drilling Techniques, 2007, 35(3): 33-36.
    [6] 康力, 鲜明, 杨国兴, 等. 废旧汽车轮胎橡胶颗粒堵漏材料的研究与应用[J]. 钻井液与完井液, 2016, 33(4): 69-73.

    KANG Li, XIAN Ming, YANG Guoxing, et al. Study and application of rubber powder LCM made from waste motor tires[J]. Drilling Fluid & Completion Fluid, 2016, 33(4): 69-73.
    [7] MANSOUR A K, TALEGHANI A D. Smart loss circulation materials for drilling highly fractured zones[C]//Paper presented at the SPE/IADC Middle East Drilling Technology Conference and Exhibition. Abu Dhabi, UAE, 2018: SPE-189413-MS.
    [8] CUI K X, JIANG G C, XIE C L, et al. A novel temperature-sensitive expandable lost circulation material based on shape memory epoxy foams to prevent losses in geothermal drilling[J]. Geothermics, 2021, 95: 102145. doi: 10.1016/j.geothermics.2021.102145
    [9] 范宇, 唐宜家, 夏连彬, 等. 环保性纳米硅酸镁锂/纤维素/明胶复合凝胶的制备及堵漏性能[J]. 钻井液与完井液, 2025, 42(2): 209-216.

    FAN Yu, TANG Yijia, XIA Lianbin, et al. Preparation of environmentally friendly nano lithium magnesium silicate-cellulose-gelatin composite gel and study on its ability to control mud losses[J]. Drilling Fluid & Completion Fluid, 2025, 42(2): 209-216.
    [10] 李科, 贾江鸿, 于雷, 等. 页岩油钻井漏失机理及防漏堵漏技术[J]. 钻井液与完井液, 2022, 39(4): 446-450.

    LI Ke, JIA Jianghong, YU Lei, et al. Mechanisms of lost circulation and technologies for mud loss prevention and control in shale oil drilling[J]. Drilling Fluid & Completion Fluid, 2022, 39(4): 446-450.
    [11] 张杜杰, 金军斌, 李大奇, 等. 超致密储层流体敏感性实验方法[J]. 钻井液与完井液, 2024, 41(2): 172-177.

    ZHANG Dujie, JIN Junbin, LI Daqi, et al. The experimental methods to evaluate the fluids sensitivity damage of ultra-deep and ultra-tight gas reservoirs[J]. Drilling Fluid & Completion Fluid, 2024, 41(2): 172-177.
    [12] 暴丹, 邱正松, 叶链, 等. 热致形状记忆“智能”型堵漏剂的制备与特性实验[J]. 石油学报, 2020, 41(1): 106-115.

    BAO Dan, QIU Zhengsong, YE Lian, et al. Preparation and characteristic experiments of intelligent lost circulation materials based on thermally shape memory polymer[J]. Acta Petrolei Sinica, 2020, 41(1): 106-115.
    [13] 王照辉, 崔凯潇, 蒋官澄, 等. 基于形状记忆环氧树脂聚合物的温敏可膨胀型堵漏剂研制及性能评价[J]. 钻井液与完井液, 2020, 37(4): 412-420.

    WANG Zhaohui, CUI Kaixiao, JIANG Guancheng, et al. Development and evaluation of a temperature-sensitive expandable lost circulation material made from a shape memory epoxy polymer[J]. Drilling Fluid & Completion Fluid, 2020, 37(4): 412-420.
    [14] CUI K X, LI D Q, LIU J H, et al. How to use expansion rubber to form an adaptive sealing layer to solve severe Loss--Materials, effects and theory[C]//Paper presented at the International Petroleum Technology Conference. Dhahran, Saudi Arabia, 2024: IPTC-24431-MS.
    [15] 许成元, 康毅力, 李大奇. 提高地层承压能力研究新进展[J]. 钻井液与完井液, 2011, 28(5): 81-85, 88.

    XU Chengyuan, KANG Yili, LI Daqi. New progress in research on improving the pressure-bearing capacity of strata[J]. Drilling Fluid & Completion Fluid, 2011, 28(5): 81-85,88.
    [16] 谢佳君, 刘应民, 李雪松, 等. 多功能固结堵漏技术在宜202井区碳酸盐岩地层的应用[J]. 钻采工艺, 2024, 47(1): 154-161.

    XIE Jiajun, LIU Yingmin, LI Xuesong, et al. Application of multifunctional consolidation and plugging technology in carbonate rock formation in well area Yi 202[J]. Drilling & Production Technology, 2024, 47(1): 154-161.
  • 加载中
图(10) / 表(2)
计量
  • 文章访问数:  426
  • HTML全文浏览量:  231
  • PDF下载量:  79
  • 被引次数: 0
出版历程
  • 收稿日期:  2025-09-27
  • 修回日期:  2025-11-12
  • 刊出日期:  2026-04-08

目录

    /

    返回文章
    返回

    尊敬的作者、读者:

    您好!

    为更好地服务于广大作者和读者,提升期刊编辑部的办公效率和服务质量,本刊编辑部办公地点及联系电话已进行变更。

    新办公地址:天津经济技术开发区第二大街83号中国石油天津大厦A517房间

    新联系电话:022-65278734

                         022-25275527

    我们衷心希望广大作者和读者能够继续支持我们的工作,共同推动期刊的发展和进步。

    再次感谢您对期刊的关注和支持!