留言板

尊敬的读者、作者、审稿人, 关于本刊的投稿、审稿、编辑和出版的任何问题, 您可以本页添加留言。我们将尽快给您答复。谢谢您的支持!

姓名
邮箱
手机号码
标题
留言内容
验证码

抗高温气滞塞体系构建及滞气机理

张震 尹达 苏晓明 冯魏

张震,尹达,苏晓明,等. 抗高温气滞塞体系构建及滞气机理[J]. 钻井液与完井液,2025,42(6):748-755 doi: 10.12358/j.issn.1001-5620.2025.06.006
引用本文: 张震,尹达,苏晓明,等. 抗高温气滞塞体系构建及滞气机理[J]. 钻井液与完井液,2025,42(6):748-755 doi: 10.12358/j.issn.1001-5620.2025.06.006
ZHANG Zhen, YIN Da, SU Xiaoming, et al.Formulation of high temperature gas-kick preventer and its mechanism of blocking gas cut[J]. Drilling Fluid & Completion Fluid,2025, 42(6):748-755 doi: 10.12358/j.issn.1001-5620.2025.06.006
Citation: ZHANG Zhen, YIN Da, SU Xiaoming, et al.Formulation of high temperature gas-kick preventer and its mechanism of blocking gas cut[J]. Drilling Fluid & Completion Fluid,2025, 42(6):748-755 doi: 10.12358/j.issn.1001-5620.2025.06.006

抗高温气滞塞体系构建及滞气机理

doi: 10.12358/j.issn.1001-5620.2025.06.006
基金项目: 中国石油天然气股份有限公司塔里木油田分公司科技攻关项目“耐170℃以上高性能气滞塞研发”(671023115030)。
详细信息
    作者简介:

    张震,高级工程师,现在主要从事石油工程技术研究与管理工作。E-mail:3073441594@qq.com

  • 中图分类号: TE282

Formulation of High Temperature Gas-Kick Preventer and Its Mechanism of Blocking Gas Cut

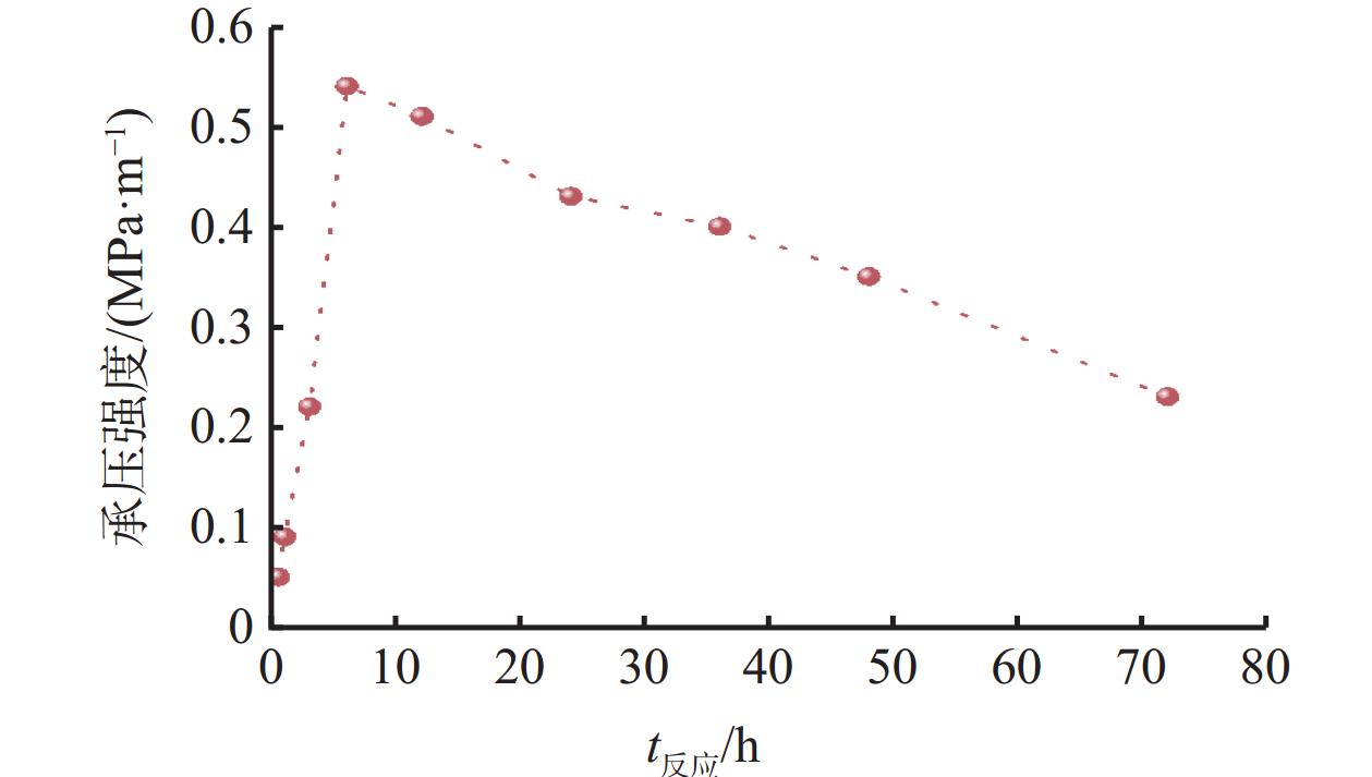
  • 摘要: 在高温储层钻井作业中,油气侵入井筒,易引发溢流甚至井喷等复杂事故。传统聚合物凝胶虽可防止气窜,但却存在抗温性能不足的问题。选用耐温聚合物AP-9、交联剂(聚乙烯亚胺和柠檬酸铝按1∶1)和硫脲制备耐高温气滞塞体系,通过实验探究各组分用量对气滞塞体系热稳定性的影响,优选出最佳配方(0.5%聚合物AP-9+0.4%交联剂+0.25%硫脲)。实验结果表明,该耐高温气滞塞体系在160℃高温下,使用25 000 mg/L Na+盐水配制的凝胶成胶后黏度为7120 mPa·s,抗盐性能良好,加热72 h后的黏度仍然可达3328 mPa·s,承压强度0.23 MPa/m。该研究为高温井环境中有效密封井下油气提供了技术支持,有助于实现全过程欠平衡钻井作业,对提高钻井安全性和效率具有重要意义。

     

  • 图  1  气滞塞的制备流程

    图  2  凝胶强度的等级

    图  3  凝胶性能随成胶剂质量分数的变化

    图  4  凝胶性能随交联剂质量分数的变化

    图  5  凝胶性能随稳定剂质量分数的变化

    图  6  凝胶成胶时间随温度的变化

    图  7  气滞塞体系G′和G″随温度的变化

    图  8  气滞塞体系性能随温度的实物变化

    图  9  不同温度下凝胶黏度随时间的变化

    图  10  不同温度下凝胶黏度随时间的实物变化

    图  11  Na+浓度对凝胶体系成胶性能的影响

    图  12  耐高温气滞塞体系的凝胶承压强度随时间的变化

    图  13  气滞塞体系的热稳定性及在不同老化时间后的SEM图片

  • [1] 党杨斌, 濮兰天, 星占龙, 等. 适用于高温高盐油藏冻胶堵剂的研制与应用[J]. 西安石油大学学报(自然科学版), 2025, 40(1): 65-70.

    DANG Yangbin, PU Lantian, XING Zhanlong, et al. Research and application of gel plugging agent for high-temperature and high-salt reservoir[J]. Journal of Xi'an Shiyou University(Natural Science), 2025, 40(1): 65-70.
    [2] 赵海洋, 范胜, 连世鑫, 等. 顺北油气田用抗高温弱凝胶防气侵钻井液体系[J]. 钻井液与完井液, 2023, 40(3): 332-339. doi: 10.12358/j.issn.1001-5620.2023.03.008

    ZHAO Haiyang, FAN Sheng, LIAN Shixin, et al. Study on high temperature gas-cut resistant weak gel drilling fluid in Shunbei oil and gas field[J]. Drilling Fluid & Completion Fluid, 2023, 40(3): 332-339. doi: 10.12358/j.issn.1001-5620.2023.03.008
    [3] 姚文爽, 刘泼, 郝惠军, 等. 纳米二氧化硅复合聚合物凝胶的制备与堵漏性能[J]. 钻井液与完井液, 2025, 42(3): 330-337.

    YAO Wenshuang, LIU Po, HAO Huijun, et al. Preparation of composite nano-silica and polymer gel and its function as lost circulation material[J]. Drilling Fluid & Completion Fluid, 2025, 42(3): 330-337
    [4] 李文哲, 黄桃, 唐宜家, 等. 基于疏水缔合作用的凝胶封堵剂及封堵机制研究[J]. 钻井液与完井液, 2025, 42(4): 486-493.

    LI Wenzhe, HUANG Tao, TANG Yijia, et al. Study on gel plugging agent and plugging mechanism based on hydrophobic association[J]. Drilling Fluid & Completion Fluid, 2025, 42(4): 486-493
    [5] WANG Y, LIU D J, LIAO R Q, et al. Study of adhesive self-degrading gel for wellbore sealing[J]. Colloids and Surfaces A: Physicochemical and Engineering Aspects, 2022, 651: 129567. doi: 10.1016/j.colsurfa.2022.129567
    [6] 何世伟, 靳永红, 王磊, 等. 橡胶颗粒增强双网络结构堵水冻胶性能研究[J]. 石油与天然气化工, 2024, 53(3): 73-78. doi: 10.3969/j.issn.1007-3426.2024.03.012

    HE Shiwei, JIN Yonghong, WANG Lei, et al. Study on the properties of rubber particles reinforced double network structure gel[J]. Chemical Engineering of Oil and Gas, 2024, 53(3): 73-78. doi: 10.3969/j.issn.1007-3426.2024.03.012
    [7] 林昊昕, 何宏, 张雪硕, 等. 海上高温高盐油藏深部堵水用高强度凝胶体系的制备及性能[J]. 石油化工, 2024, 53(11): 1619-1624. doi: 10.3969/j.issn.1000-8144.2024.11.012

    LIN Haoxin, HE Hong, ZHANG Xueshuo, et al. Preparation and properties of high strength gel system for deep water blocking in offshore high-temperature and high-salinity reservoirs[J]. Petrochemical Technology, 2024, 53(11): 1619-1624. doi: 10.3969/j.issn.1000-8144.2024.11.012
    [8] LIU J W, LI L, XU Z Z, et al. Biomimetic functional hydrogel particles with enhanced adhesion characteristics for applications in fracture conformance control[J]. Journal of Industrial and Engineering Chemistry, 2022, 106: 482-491. doi: 10.1016/j.jiec.2021.11.021
    [9] BAI Y, WU L F, LUO P Y, et al. Synthesis and evaluation of delayed anti-high temperature gel plugging agent[J]. Frontiers in Energy Research, 2022, 10: 1003473. doi: 10.3389/fenrg.2022.1003473
    [10] 刘文堂, 刘昱彤, 李旭东, 等. 一种聚合物凝胶暂堵剂的研制及其应用[J]. 钻井液与完井液, 2024, 41(4): 551-556. doi: 10.12358/j.issn.1001-5620.2024.04.018

    LIU Wentang, LIU Yutong, LI Xudong, et al. Development of polymer gel temporary plugging agent and the application[J]. Drilling Fluid & Completion Fluid, 2024, 41(4): 551-556. doi: 10.12358/j.issn.1001-5620.2024.04.018
    [11] 杨雪, 廖锐全, 汪瀛. 带压作业用自降解凝胶性能的评价[J]. 油田化学, 2023, 40(2): 211-216.

    YANG Xue, LIAO Ruiquan, WANG Ying. Performance evaluation of self-degrading gel for pressurized operation[J]. Oilfield Chemistry, 2023, 40(2): 211-216.
    [12] JIA H, XIE D S, KANG Z. Secondary surface modified laponite-based nanocomposite hydrogel for gas shutoff in wellbore[J]. Journal of Petroleum Science and Engineering, 2020, 191: 107116. doi: 10.1016/j.petrol.2020.107116
    [13] DU L, XIAO Y Y, JIANG Z C, et al. A high temperature-resistant, strong, and self-healing double-network hydrogel for profile control in oil recovery[J]. Journal of Colloid and Interface Science, 2025, 679(Pt B): 490-502.
    [14] JI R J, YU X R, YANG H, et al. Preparation and degradable mechanism of self-breaking gel valve for underbalanced drilling[J]. Geoenergy Science and Engineering, 2024, 235: 212705. doi: 10.1016/j.geoen.2024.212705
    [15] 黎凌, 杨梦莹, 鲍学飞, 等. 控压钻井用凝胶隔段工作液性能评价及机理分析[J]. 钻井液与完井液, 2018, 35(6): 82-86. doi: 10.3969/j.issn.1001-5620.2018.06.015

    LI Ling, YANG Mengying, BAO Xuefei, et al. A brittle and drillable gel slug for use in managed pressure drilling[J]. Drilling Fluid & Completion Fluid, 2018, 35(6): 82-86. doi: 10.3969/j.issn.1001-5620.2018.06.015
    [16] 王在明, 朱宽亮, 冯京海, 等. 高温冻胶阀的研制与现场试验[J]. 石油钻探技术, 2015, 43(4): 78-82. doi: 10.11911/syztjs.201504014

    WANG Zaiming, ZHU Kuanliang, FENG Jinghai, et al. Development and field test of high-temperature gel valve[J]. Petroleum Drilling Techniques, 2015, 43(4): 78-82. doi: 10.11911/syztjs.201504014
    [17] 胡挺, 曾权先, 李华磊, 等. 冻胶阀完井技术研究与应用[J]. 石油钻采工艺, 2012, 34(1): 32-35. doi: 10.3969/j.issn.1000-7393.2012.01.009

    HU Ting, ZENG Quanxian, LI Hualei, et al. Study and application of smart pack completion technology[J]. Oil Drilling & Production Technology, 2012, 34(1): 32-35. doi: 10.3969/j.issn.1000-7393.2012.01.009
    [18] 李志勇, 陈帅, 陶冶, 等. 抗硫化氢高强度冻胶阀试验研究[J]. 石油钻探技术, 2016, 44(2): 65-69. doi: 10.11911/syztjs.201602011

    LI Zhiyong, CHEN Shuai, TAO Ye, et al. Experimental study on high strength anti-H2S gel valves[J]. Petroleum Drilling Techniques, 2016, 44(2): 65-69. doi: 10.11911/syztjs.201602011
    [19] 罗发强, 韩子轩, 柴龙, 等. 抗高温气滞塞技术的研究与应用[J]. 钻井液与完井液, 2019, 36(2): 165-169. doi: 10.3969/j.issn.1001-5620.2019.02.006

    LUO Faqiang, HAN Zixuan, CHAI Long, et al. Study and application of high temperature gas blocking plug[J]. Drilling Fluid & Completion Fluid, 2019, 36(2): 165-169. doi: 10.3969/j.issn.1001-5620.2019.02.006
    [20] 柴龙, 林永学, 金军斌, 等. 塔河油田外围高温高压井气滞塞防气窜技术[J]. 石油钻探技术, 2018, 46(5): 40-45. doi: 10.11911/syztjs.2018111

    CHAI Long, LIN Yongxue, JIN Junbin, et al. Anti-gas channeling technology with gas-block plug for high temperature and high pressure wells in the periphery of the Tahe oilfield[J]. Petroleum Drilling Techniques, 2018, 46(5): 40-45. doi: 10.11911/syztjs.2018111
    [21] 王枫. 高温高压井凝胶气滞塞体系研究[D]. 青岛: 中国石油大学(华东), 2022.

    WANG Feng. Study on a gel system for gas plugging in high temperature and high pressure wells[D]. Qingdao: China University of Petroleum(East China), 2022.
    [22] 党志强, 张光华, 赖小娟, 等. 高矿化度油藏用聚丙烯酰胺封堵凝胶的制备及性能[J]. 精细化工. (2025-02-27)[2025-03-26]. https://doi.org/10.13550/j.jxhg.20240850.

    DANG Zhiqiang, ZHANG Guanghua, LAI Xiaojuan, et al. Preparation and evaluation of polyacrylamide plugging gel for high salinity oil reservoir[J]. Fine Chemicals. (2025-02-27)[2025-03-26]. https://doi.org/10.13550/j.jxhg.20240850.
    [23] LIU J P, FU H R, LUO Z F, et al. Preparation and performance of pH-temperature responsive low-damage gel temporary plugging agent[J]. Colloids and Surfaces. a, Physicochemical and Engineering Aspects, 2023, 662: 130990. doi: 10.1016/j.colsurfa.2023.130990
    [24] 王成俊, 展转盈, 倪军, 等. 矿化度对柠檬酸铝与部分水解聚丙烯酰胺交联反应的影响[J]. 石油化工, 2021, 50(10): 1058-1063. doi: 10.3969/j.issn.1000-8144.2021.10.011

    WANG Chengjun, ZHAN Zhuanying, NI Jun, et al. Influence of salinity on the cross-linking reaction mechanism of aluminium citrate and partially hydrolyzed polyacrylamide[J]. Petrochemical Technology, 2021, 50(10): 1058-1063. doi: 10.3969/j.issn.1000-8144.2021.10.011
    [25] 朱英月. 含聚污泥调剖体系研究[D]. 天津: 天津大学, 2020.

    ZHU Yingyue. Study on profile control system containing oily sludge produced from polymer flooding[D]. Tianjin: Tianjin University, 2020.
    [26] 代磊阳, 牟媚, 徐国瑞, 等. 缓交联高强度凝胶的制备和性能研究[J]. 石油化工, 2024, 53(6): 871-877. doi: 10.3969/j.issn.1000-8144.2024.06.015

    DAI Leiyang, MU Mei, XU Guorui, et al. Preparation and properties of slow crosslinking high strength gels[J]. Petrochemical Technology, 2024, 53(6): 871-877. doi: 10.3969/j.issn.1000-8144.2024.06.015
  • 加载中
图(13)
计量
  • 文章访问数:  401
  • HTML全文浏览量:  215
  • PDF下载量:  25
  • 被引次数: 0
出版历程
  • 收稿日期:  2025-07-19
  • 修回日期:  2025-09-23
  • 网络出版日期:  2025-12-08
  • 刊出日期:  2025-12-08

目录

    /

    返回文章
    返回

    尊敬的作者、读者:

    您好!

    为更好地服务于广大作者和读者,提升期刊编辑部的办公效率和服务质量,本刊编辑部办公地点及联系电话已进行变更。

    新办公地址:天津经济技术开发区第二大街83号中国石油天津大厦A517房间

    新联系电话:022-65278734

                         022-25275527

    我们衷心希望广大作者和读者能够继续支持我们的工作,共同推动期刊的发展和进步。

    再次感谢您对期刊的关注和支持!