留言板

尊敬的读者、作者、审稿人, 关于本刊的投稿、审稿、编辑和出版的任何问题, 您可以本页添加留言。我们将尽快给您答复。谢谢您的支持!

姓名
邮箱
手机号码
标题
留言内容
验证码

渤海浅层大位移井合成基钻井液自适应高承压封堵剂

刘宝生 汤柏松 霍宏博 张俊 侯欣欣 贺垠博 王奕杰

刘宝生,汤柏松,霍宏博,等. 渤海浅层大位移井合成基钻井液自适应高承压封堵剂[J]. 钻井液与完井液,2025,42(5):587-593 doi: 10.12358/j.issn.1001-5620.2025.05.003
引用本文: 刘宝生,汤柏松,霍宏博,等. 渤海浅层大位移井合成基钻井液自适应高承压封堵剂[J]. 钻井液与完井液,2025,42(5):587-593 doi: 10.12358/j.issn.1001-5620.2025.05.003
LIU Baosheng, TANG Baisong, HUO Hongbo, et al.A Self-adaptable high pressure bearing plugging agent for synthetic-based doi: 10.12358/j.issn.1001-5620.2025.05.003
Citation: LIU Baosheng, TANG Baisong, HUO Hongbo, et al.A Self-adaptable high pressure bearing plugging agent for synthetic-based doi: 10.12358/j.issn.1001-5620.2025.05.003

渤海浅层大位移井合成基钻井液自适应高承压封堵剂

doi: 10.12358/j.issn.1001-5620.2025.05.003
基金项目: 中海石油(中国)有限公司科技项目“渤海油田稳产3000万吨,上产4000万吨关键技术研究”子课题“莱州湾浅层6000米大位移井钻完井技术研究与示范”(CNOOC-KJ135ZDXM36TJ06TJGD202201)部分研究成果。
详细信息
    作者简介:

    刘宝生, 博士, 高级工程师, 主要从事海上油气工程技术研究及管理工作。 E-mail:liubsh@cnooc.com.cn

  • 中图分类号: TE254.4

A Self-Adaptable High Pressure Bearing Plugging Agent for Synthetic-Based Drilling Fluid in Shallow Extended-Reach Well Drilling in Bohai

  • 摘要: 通过对渤海浅层大位移井井漏情况分析,明确了大位移井合成基钻井液自适应高承压封堵剂针对性优化方向:井下地层非均质性强,孔隙、裂缝的尺寸分布具有盲目性,材料需针对未知尺寸孔隙形成有效封堵;钻遇地层微裂缝极其发育,承压能力弱,材料需具有较高抗压强度。针对上述难点,以甲基丙烯酸甲酯为主链,配合多种不同碳链长度的单不饱和脂肪酸酯单体材料,合成了一种吸油膨胀自适应高承压封堵剂OBR-1。实验结果表明,OBR-1在高弹态时的体积膨胀能力强,且吸油后仍具有较高弹性模量,广谱封堵效果好,承压能力强。含2%OBR-1的合成基乳液封堵10~120 μm砂盘承压均能达10 MPa。以OBR-1为核心所构建的高承压封堵合成基钻井液体系封堵20~80目砂床承压达20 MPa,具有良好的承压能力和封堵性能,可为海上大位移井安全高效钻进提供保障。

     

  • 图  1  OBR-1的微观形貌及分子结构图

    图  2  OBR-1的FT-IR光谱图(a)与OBR-1的DSC曲线(b)

    图  3  150℃下 不同目数OBR-1的体积膨胀变化曲线

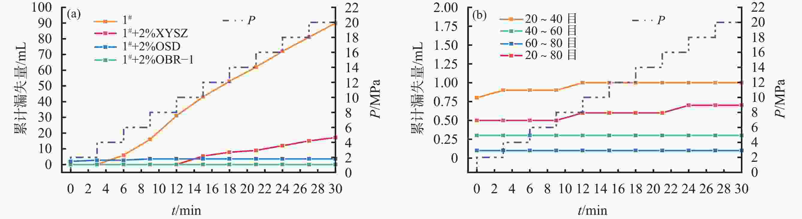
    图  4  合成基钻井液对40~60目砂床的堵漏效果(a)与加入2%OBR-1 钻井液封堵随机目数砂床的最大承压和累计漏失量(b)

    图  5  在合成基钻井液体系中加入不同封堵材料封堵后砂床状态

    图  6  加入2%OBR-1前后乳液封堵砂盘形成封堵层的冷冻扫描电镜图

    图  7  封堵剂OBR-1的封堵机理

    表  1  不同温度下OBR-1的吸油膨胀性能

    T测试/
    m1/
    g
    m2/
    g
    d1/
    mm
    d2/
    mm
    w/
    g·g−1
    v/
    mm3·mm−3
    弹性
    模量/MPa
    室温 1.03 1.22 1 1.14 0.18 1.48 28.96
    120 1.02 1.31 1 1.22 0.28 2.22 20.65
    150 1.03 3.93 1 1.67 2.81 4.65 19.95
    下载: 导出CSV

    表  2  在合成基乳液中加入不同封堵材料的封堵性能

    封堵材料 FLHTHP/
    mL
    砂盘孔径/
    μm
    累计漏失/
    mL
    最大承压/
    MPa
    0 50.4 120 全漏 2
    90 全漏 2
    20 全漏 2
    10 全漏 2
    10~120 全漏 2
    2%OBR-1 21.6 120 25.0 10
    90 21.0 10
    20 8.4 10
    10 4.8 10
    10~120 2.2 10
    2%OSD 18.4 120 58 4
    90 55 6
    20 5 10
    10 5.6 10
    10~120 7.4 6
     注:合成基乳液:340 mL 1-十八烯+8%乳化剂+2%有机土+3%CaO+60 mL盐水(30%CaCl2溶液)+4%超细钙;FLHTHP在150℃、3.5 MPa下测定;实验测试温度为150℃。
    下载: 导出CSV

    表  3  在井浆中加入2%OBR-1前后的流变参数

    OBR-1/
    %
    实验
    条件
    PV/
    mPa·s
    YP/
    Pa
    TYS/
    Pa
    Gel/
    Pa/Pa
    ES/
    V
    EP FLHTHP/
    mL
    0 老化前 20 17 13.30 13/14 1257 0.11
    150℃、16 h 25 14 7.15 8/9 711 0.10 7.2
    2 老化前 21 17 13.30 13/14 923 0.09
    150℃、16 h 27 13 7.15 7.5/9 839 0.09 3.8
    下载: 导出CSV

    表  4  在井浆中加入OBR-1前后不同渗透率岩心的封堵率(%)

    OBR-1/% F150~250 F350~450 F550~650 F750~850 F950~1050 F平均
    0 71.55 78.34 79.26 80.25 81.30 78.14
    2 95.97 95.21 93.34 91.55 91.43 93.50
    下载: 导出CSV
  • [1] 张彦军. 石油钻井工程的井漏原因和防漏堵漏工艺方案研究[J]. 科技风, 2024(14): 81-83,93.

    ZHANG Yanjun. Research on the causes of lost circulation in petroleum drilling engineering and the process plan for leakage prevention and blocking[J]. Technology Wind, 2024(14): 81-83,93.
    [2] 杨世杰. 渤海油田深井深层防漏堵漏技术策略研究[J]. 石化技术, 2024, 31(5): 135-137.

    YANG Shijie. Research on the technical strategy of leakage prevention and plugging in the deep well and deep formation of Bohai oilfield[J]. Petrochemical Industry Technology, 2024, 31(5): 135-137.
    [3] 严君凤, 蒋炳, 罗显粱, 等. 膨胀堵漏材料及堵漏工艺研究进展[C]//第二十二届全国探矿工程. 威海: 中国地质学会, 2023: 68-74.

    YAN Junfeng, JIANG Bing, LUO Xianliang, et al. Research progress in expansion plugging materials and plugging technology[C]//The 22nd National Exploration Engineering Conference. Weihai: Geological Society of China, 2023: 68-74
    [4] 许明标, 赵明琨, 侯珊珊, 等. 油基桥架堵漏剂的研究与应用[J]. 断块油气田, 2018, 25(6): 799-802.

    XU Mingbiao, ZHAO Mingkun, HOU Shanshan, et al. Research and application of oil-based bridge plugging agent[J]. Fault-Block Oil and Gas Field, 2018, 25(6): 799-802.
    [5] 张洪利, 郭艳, 王志龙. 国内钻井堵漏材料现状[J]. 特种油气藏, 2004, 11(2): 1-2,10.

    ZHANG Hongli, GUO Yan, WANG Zhilong. Lost circulation materials in China[J]. Special Oil & Gas Reservoirs, 2004, 11(2): 1-2,10.
    [6] 吴军, 许明标, 陈林, 等. 一种新型油基堵漏剂的室内研究[J]. 长江大学学报(自科版), 2016, 13(11): 46-48.

    WU Jun, XU Mingbiao, CHEN Lin, et al. Laboratory study of a new oil-based plugging agent[J]. Journal of Yangtze University (Natural Science Edition), 2016, 13(11): 46-48.
    [7] 徐哲. 钻井液用内刚外柔封堵剂研究[D]. 青岛: 中国石油大学(华东), 2021.

    XU Zhe. Study on internal rigid and external flexible plugging agent for drilling fluid[D]. Qingdao: China University of Petroleum (East China), 2021.
    [8] 王灿, 侯士立, 齐奔, 等. 自胶结堵漏技术研究与应用[J]. 钻井液与完井液, 2016, 33(5): 63-66.

    WANG Can, HOU Shili, QI Ben, et al. Study and application of self-cementation lost circulation control method[J]. Drilling Fluid & Completion Fluid, 2016, 33(5): 63-66.
    [9] 吕开河, 邱正松, 魏慧明, 等. 自适应防漏堵漏钻井液技术研究[J]. 石油学报, 2008, 29(5): 757-760,765.

    LYU Kaihe, QIU Zhengsong, WEI Huiming, et al. Study on techniques of auto-adapting lost circulation resistance and control for drilling fluid[J]. Acta Petrolei Sinica, 2008, 29(5): 757-760,765.
    [10] ZHONG H Y, SHEN G C, QIU Z S, et al. Minimizing the HTHP filtration loss of oil-based drilling fluid with swellable polymer microspheres[J]. Journal of Petroleum Science and Engineering, 2019, 172: 411-424. doi: 10.1016/j.petrol.2018.09.074
    [11] ZHANG T, LI Z D, LÜ Y, et al. Recent progress and future prospects of oil-absorbing materials[J]. Chinese Journal of Chemical Engineering, 2019, 27(6): 1282-1295. doi: 10.1016/j.cjche.2018.09.001
    [12] BAI Y R, DAI L Y, SUN J S, et al. Experimental study on an oil-absorbing resin used for lost circulation control during drilling[J]. Journal of Petroleum Science and Engineering, 2022, 214: 110557. doi: 10.1016/j.petrol.2022.110557
    [13] 刘静, 马诚, 杨超, 等. 井漏地层钻井液堵漏材料研究现状与展望[J]. 油田化学, 2023, 40(4): 729-735.

    LIU Jing, MA Cheng, YANG Chao, et al. Current status and prospects of drilling fluid plugging materials for lost circulation formations[J]. Oilfield Chemistry, 2023, 40(4): 729-735.
    [14] 李劲松, 翁昊阳, 段飞飞, 等. 钻井液类型对井壁稳定的影响实例与防塌机理分析[J]. 科学技术与工程, 2019, 19(26): 161-167. doi: 10.3969/j.issn.1671-1815.2019.26.024

    LI Jinsong, WENG Haoyang, DUAN Feifei, et al. Cases of the influence of drilling fluid type on borehole stability and analysis of anti-collapse mechanism[J]. Science Technology and Engineering, 2019, 19(26): 161-167. doi: 10.3969/j.issn.1671-1815.2019.26.024
    [15] 李红梅, 申峰, 吴金桥, 等. 新型油基钻井液堵漏剂性能[J]. 钻井液与完井液, 2016, 33(2): 41-44.

    LI Hongmei, SHEN Feng, WU Jinqiao, et al. Study on performance of a new oil base mud lost circulation material[J]. Drilling Fluid & Completion Fluid, 2016, 33(2): 41-44.
    [16] 赖全勇, 杨洁, 谌鹏飞. 绥中36-1油田井壁承压封堵性研究[J]. 中国新技术新产品, 2023(19): 73-75.

    LAI Quanyong, YANG Jie, CHEN Pengfei. Study on pressure plugging of wellbore in Suizhong 36-1 oilfield[J]. New Technologies and New Products of China, 2023(19): 73-75.
    [17] 董云峰, 韩成. 油基钻井液堵漏体系及材料研究进展[J]. 化工设计通讯, 2023, 49(11): 37-39. doi: 10.3969/j.issn.1003-6490.2023.11.014

    DONG Yunfeng, HAN Cheng. Research progress in oil-based drilling fluid plugging systems and materials[J]. Chemical Engineering Design Communications, 2023, 49(11): 37-39. doi: 10.3969/j.issn.1003-6490.2023.11.014
    [18] 陈军, 王平, 李占超. 油基钻井液防漏堵漏理论与技术研究进展[J]. 当代化工研究, 2022(12): 162-164.

    CHEN Jun, WANG Ping, LI Zhanchao. Research progress of oil-based drilling fluid lost circulation prevention and control theory and technology[J]. Modern Chemical Research, 2022(12): 162-164.
    [19] 孙金声, 蒋官澄, 贺垠博, 等. 油基钻井液面临的技术难题与挑战[J]. 中国石油大学学报(自然科学版), 2023, 47(5): 76-89.

    SUN Jinsheng, JIANG Guancheng, HE Yinbo, et al. Technical difficulties and challenges faced by oil-based drilling fluid[J]. Journal of China University of Petroleum (Edition of Natural Science), 2023, 47(5): 76-89.
    [20] HAGEN R, SALMEN L, STENBERG B. Effects of the type of crosslink on viscoelastic properties of natural rubber[J]. Journal of Polymer Science Part B-Polymer Physics, 1996, 34(12): 1997-2006. doi: 10.1002/(SICI)1099-0488(19960915)34:12<1997::AID-POLB5>3.0.CO;2-N
  • 加载中
图(7) / 表(4)
计量
  • 文章访问数:  602
  • HTML全文浏览量:  235
  • PDF下载量:  44
  • 被引次数: 0
出版历程
  • 收稿日期:  2025-04-06
  • 修回日期:  2025-05-14
  • 网络出版日期:  2025-10-30
  • 刊出日期:  2025-09-30

目录

    /

    返回文章
    返回

    尊敬的作者、读者:

    您好!

    为更好地服务于广大作者和读者,提升期刊编辑部的办公效率和服务质量,本刊编辑部办公地点及联系电话已进行变更。

    新办公地址:天津经济技术开发区第二大街83号中国石油天津大厦A517房间

    新联系电话:022-65278734

                         022-25275527

    我们衷心希望广大作者和读者能够继续支持我们的工作,共同推动期刊的发展和进步。

    再次感谢您对期刊的关注和支持!