留言板

尊敬的读者、作者、审稿人, 关于本刊的投稿、审稿、编辑和出版的任何问题, 您可以本页添加留言。我们将尽快给您答复。谢谢您的支持!

姓名
邮箱
手机号码
标题
留言内容
验证码

一种基于物理交联的多功能携砂驱油压裂液体系

李建申 黄秋实 燕松兵 刘青 王茂功 董景锋 郑苗

李建申,黄秋实,燕松兵,等. 一种基于物理交联的多功能携砂驱油压裂液体系[J]. 钻井液与完井液,2024,41(5):668-676 doi: 10.12358/j.issn.1001-5620.2024.05.015
引用本文: 李建申,黄秋实,燕松兵,等. 一种基于物理交联的多功能携砂驱油压裂液体系[J]. 钻井液与完井液,2024,41(5):668-676 doi: 10.12358/j.issn.1001-5620.2024.05.015
LI Jianshen, HUANG Qiushi, YAN Songbing, et al.A multifunctional sand-carrying and oil-displacement fracturing fluid system based on physical cross-linking[J]. Drilling Fluid & Completion Fluid,2024, 41(5):668-676 doi: 10.12358/j.issn.1001-5620.2024.05.015
Citation: LI Jianshen, HUANG Qiushi, YAN Songbing, et al.A multifunctional sand-carrying and oil-displacement fracturing fluid system based on physical cross-linking[J]. Drilling Fluid & Completion Fluid,2024, 41(5):668-676 doi: 10.12358/j.issn.1001-5620.2024.05.015

一种基于物理交联的多功能携砂驱油压裂液体系

doi: 10.12358/j.issn.1001-5620.2024.05.015
基金项目: 中国石油科学技术专项中国石油天然气股份有限公司科学研究与技术开发项目“油田用化工新材料产品开发” (2020E-28)资助。
详细信息
    作者简介:

    李建申,博士,高级工程师,研究方向为功能流体在油气田开发中的应用。电话 19113588085;E-mail:1634036607@qq.com。

  • 中图分类号: TE357.12

A Multifunctional Sand-carrying and Oil-displacement Fracturing Fluid System Based on Physical Cross-linking

  • 摘要: 页岩油开采过程中压裂液的高携砂能力、破胶返排性能和地层伤害间的矛盾难以避免。以三嵌段表面活性剂纳米胶束(PN)与四元聚合物(PPS)相协同,依靠聚合物与纳米胶束的物理交联作用强化网络结构,开发了一种兼有高携砂性、低伤害性和高驱油性的新型多功能携砂驱油压裂液体系PN-PPS。PN-PPS依靠致密的网络结构而展现出优异的携砂能力及耐温抗剪切性,陶粒在PN-PPS溶液中携砂时间高达510 min。得益于体系的网络结构由物理交联作用强化,PN-PPS破胶迅速且彻底,破胶液残渣低于34.5 mg/L且其岩心伤害小于18%。进一步地,破胶液作为驱油剂展现出优异的驱油功能,在90 ℃下洗油效率高于99%、渗吸驱油率达20.46%、岩心驱替中采收率在水驱的基础上提高12.54%。因此,PN-PPS的应用能够在保证高效携砂压裂的同时实现不返排原位驱油,通过将压裂和驱油工艺相结合,PN-PPS的应用为页岩油开采提供了创新的解决方案,对压驱一体化技术的发展具有重要意义。

     

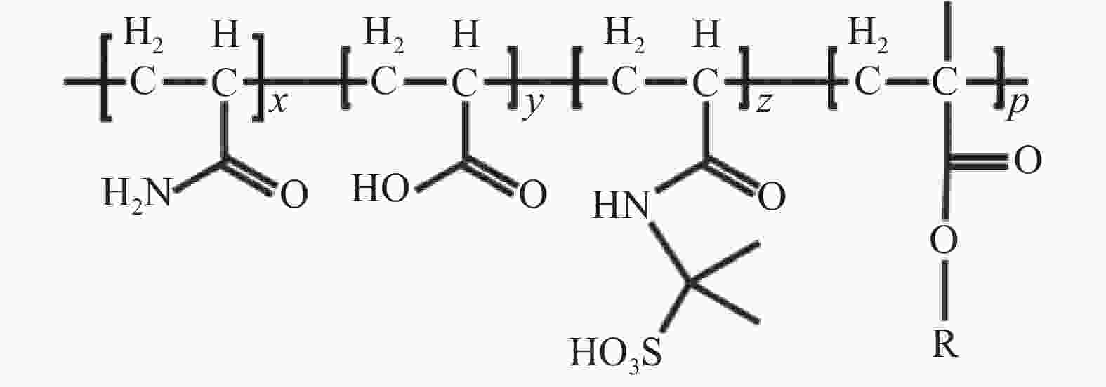
  • 图  1  PPS减阻剂的化学结构式

    图  2  纳米胶束超分子交联剂的物理特性

    图  3  携砂驱油压裂液体系的构建

    图  4  PPS和PN-PPS体系的粒径分布

    图  5  PPS和PN-PPS各体系的流变曲线

    图  6  PN-PPS体系的耐温性

    图  7  PN-PPS体系的耐盐性

    图  8  PPS与PN-PPS体系的携砂性能对比

    图  9  油砂的粒径分布

    图  10  岩心驱替试验中的压力和采收率随注入体积的变化

    表  1  不同APS浓度破胶下破胶液的各项参数

    压裂液APS/
    %
    破胶液
    η/
    mPa·s
    残渣含量/
    mg·L−1
    表面张力/
    mN·m−1
    界面张力/
    mN·m−1
    PN-PPS0.055.2834.7928.572.43
    0.104.8534.5227.351.58
    0.154.2933.8627.650.87
    0.203.8433.6326.830.99
    下载: 导出CSV

    表  2  破胶驱油剂对岩样基质损害率

    岩样岩心参数渗透率/mD基质损害率/
    %
    直径/
    cm
    长度/
    cm
    孔隙度/
    %
    损伤前损伤后
    1#2.556.281.1500.95816.67
    2#2.555.971.0760.86819.33
    3#2.556.451.2080.99617.55
    下载: 导出CSV

    表  3  新疆油砂的成分分析

    次数油砂洗前
    质量/g
    油砂洗前
    质量/g
    质量
    差/g
    含水率/
    %
    含油率/
    %
    15.05494.73200.32291.04505.342
    25.00524.69080.31440.98205.299
    34.99824.68670.31150.87205.361
    平均值5.01944.70320.31620.96635.334
    下载: 导出CSV

    表  4  破胶驱油剂的洗油效率测试结果

    T/
    清洗前油砂
    质量/g
    清洗后油砂
    含量/g
    质量
    差/g
    洗油效
    率/%
    50 1.9975 1.8320 0.1655 84.36
    70 1.9945 1.8076 0.1869 95.08
    90 2.0743 1.8920 0.1823 99.57
    下载: 导出CSV

    表  5  渗吸驱油效率的测试结果

    驱油剂岩心参数驱油体
    积/mL
    渗吸驱
    油率/%
    直径/cm长度/cm孔隙度/%
    2.55.05.970.3610.32
    破胶驱油剂2.55.06.280.6420.46
    下载: 导出CSV

    表  6  xxH1井中返排液的各项性能测试

    实验次数矿化度/
    mg·L−1
    η/
    mPa·s
    表面张力/
    mN.m−1
    界面张力/
    mN·m−1
    118 3402.4727.481.03
    218 2972.7328.630.85
    317 9822.6328.540.73
    均值18 2062.6128.220.87
    下载: 导出CSV
  • [1] HOFFMANN H. Fascinating phenomena in surfactant chemistry[J]. Advanced Materials, 1994, 6(2):116-129. doi: 10.1002/adma.19940060204
    [2] 王欢,由庆,韩坤,等. 清洁压裂返排液复配驱油体系的构建及性能评价[J]. 油田化学,2018,35(2):302-307.

    WANG Huan, YOU Qing, HAN Kun, et al. Construction and performance evaluation of surfactant flooding system based on clean fracturing flowback fluid[J]. Oilfield Chemistry, 2018, 35(2):302-307.
    [3] 周文胜,王凯,刘晨,等. 清洁压裂液返排液再利用驱油体系研究[J]. 岩性油气藏,2017,29(2):160-166.

    ZHOU Wensheng, WANG Kai, LIU Chen, et al. Laboratory study on surfactant flooding system based on clean fracturing flowback fluid[J]. Lithologic Reservoirs, 2017, 29(2):160-166.
    [4] 吴新民,陈亚楠. 一种高性能清洁压裂液返排液驱油的可行性实验研究[J]. 科学技术与工程,2017,17(32):245-250.

    WU Xinmin, CHEN Yanan. Feasibility experimental investigation on the flowback liquid of a clear fracturing fluid with high performance for displacement of reservoir oil[J]. Science Technology and Engineering, 2017, 17(32):245-250.
    [5] 张志升. 适用于致密砂岩储层的多功能表面活性剂驱油压裂液体系[J]. 大庆石油地质与开发,2020,39(1):169-174.

    ZHANG Zhisheng. Multifunctional surfactant driven fracturing fluid system for tight sandstone reservoirs[J]. Petroleum Geology & Oilfield Development in Daqing, 2020, 39(1):169-174.
    [6] 毛金成,杨小江,宋志峰,等. 高温清洁压裂液体系HT-160的研制及性能评价[J]. 石油钻探技术,2017,45(6):105-109.

    MAO Jincheng, YANG Xiaojiang, SONG Zhifeng, et al. Development and performance evaluation of high temperature resistant clean fracturing fluid system HT-160[J]. Petroleum Drilling Techniques, 2017, 45(6):105-109.
    [7] 刘晨,王凯,耿艳宏,等. 清洁压裂液破胶液驱油体系实验研究[J]. 断块油气田,2017,24(1):96-100.

    LIU Chen, WANG Kai, GENG Yanhong, et al. Laboratory study on surfactant flooding system based on clean fracturing gel-breaking fluid[J]. Fault-Block Oil and Gas Field, 2017, 24(1):96-100.
    [8] 曹辉辉, 倪云峰. 新型聚驱井用复合压裂液的室内实验研究[C]//第四届全国低渗透油气藏压裂酸化技术研讨会论文集, 北京, 2010: 509-513.

    CAO Huihui, NI Yunfeng. Laboratory experimental study on a new type of compound fracturing fluid for polymer flooding wells[C]//Proceedings of the 4th National Symposium on Fracturing and Acidizing Technology for Low Permeability Oil and Gas Reservoirs, Beijing, 2010: 509-513.
    [9] 陈世军, 郭军, 杨继刚, 等. 一种用压裂液返排液制备的驱油剂及其制备方法: CN107828399A[P]. 2018-03-23.

    CHEN Shijun, GUO Jun, YANG Jigang, et al. An oil repellent prepared from fracturing fluid return fluid and its preparation method: CN107828399A[P]. 2018-03-23.
    [10] 张荣军, 屈乐, 任大忠, 等. 一种油田用不返排可转化为驱油剂的压裂液及其制备方法: CN110791277A[P]. 2020-02-14.

    ZHANG Rongjun, QU Le, REN Dazhong, et al. A fracturing fluid for oilfield that can be converted into oil repellent without return and its preparation method: CN110791277A[P]. 2020-02-14.
    [11] 崔伟香, 邹才能, 卢拥军, 等. 一种驱油压裂液及其制备方法与应用: CN106905947A[P]. 2017-06-30.

    CUI Weixiang, ZOU Caineng, LU Yongjun, et al. An oil repellent fracturing fluid and its preparation method and application: CN106905947A[P]. 2017-06-30.
    [12] 孙晨皓,黄莎,董赛亮,等. 适用压裂液性能评价的储层原位润湿性表征新方法[J]. 钻井液与完井液,2023,40(2):251-258.

    SUN Chenhao, HUANG Sha, DONG Sailiang, et al. A new reservoir wettability characterization method for fracturing fluid performance[J]. Drilling Fluid & Completion Fluid, 2023, 40(2):251-258.
    [13] 许江文,李建民,邬元月,等. 玛湖致密砾岩油藏水平井体积压裂技术探索与实践[J]. 中国石油勘探,2019,24(2):241-249.

    XU Jiangwen, LI Jianmin, WU Yuanyue, et al. Exploration and practice of volume fracturing technology in horizontal well of Mahu tight conglomerate reservoirs[J]. China Petroleum Exploration, 2019, 24(2):241-249.
    [14] 吕振虎,汪志臣,董景锋,等. 新疆油田玛湖地层水配制有机硼胍胶压裂液的应用[J]. 科学技术与工程,2018,18(30):75-80.

    LYU Zhenhu, WANG Zhichen, DONG Jingfeng, et al. Application of organic borohydrite fracturing fluid in formation water of Mahu formation in Xinjiang oilfield[J]. Science Technology and Engineering, 2018, 18(30):75-80.
    [15] 李婷,李新发,杨震,等. 具有渗吸驱油效果的压裂液体系室内研究[J]. 石化技术,2018,25(8):307-308.

    LI Ting, LI Xinfa, YANG Zhen, et al. Indoor study of fracturing fluid system with percolation oil repellent effect[J]. Petrochemical Industry Technology, 2018, 25(8):307-308.
  • 加载中
图(10) / 表(6)
计量
  • 文章访问数:  555
  • HTML全文浏览量:  226
  • PDF下载量:  38
  • 被引次数: 0
出版历程
  • 收稿日期:  2024-03-15
  • 修回日期:  2024-04-02
  • 刊出日期:  2024-11-07

目录

    /

    返回文章
    返回

    尊敬的作者、读者:

    您好!

    为更好地服务于广大作者和读者,提升期刊编辑部的办公效率和服务质量,本刊编辑部办公地点及联系电话已进行变更。

    新办公地址:天津经济技术开发区第二大街83号中国石油天津大厦A517房间

    新联系电话:022-65278734

                         022-25275527

    我们衷心希望广大作者和读者能够继续支持我们的工作,共同推动期刊的发展和进步。

    再次感谢您对期刊的关注和支持!